Confira o novo destaque da biblioteca virtual. Um dos maiores clássicos sobre investimento no mercado financeiro, indispensável para qualquer investidor.
Economia Avançada
Equipe Universidade da Bolsa Atualizado em 11/02/2025
A partir de agora até o final desse curso avançado, entraremos em diversos tópicos que se referem a microeconomia.
A microeconomia, de forma geral, estuda o comportamento individual das pessoas e das empresas quando tomam decisões.
Os modelos econômicos supõem que os indivíduos tomam decisões para maximizar sua felicidade e as empresas tomam decisões para maximizar seus lucros.
Devido a essa busca, tanto das pessoas que querem maximizar sua felicidade quanto das empresas com relação aos seus lucros, tem-se que eles acabam utilizando os recursos limitados da sociedade da melhor maneira possível. Mas como nem tudo são flores, veremos mais adiante nos estudos os problemas com monopólios.
Hoje nas economias modernas há muita comercialização de bens, seja diretamente ou por dinheiro. Existe um modelo chamado Oferta e Demanda que ajuda a dar algum sentido de como a quantidade de bens vendida se relaciona com os seus preços. Esse modelo pode prever, por exemplo, que uma intervenção para apoiar os preços da agricultura poderão levar a uma superprodução de alimentos, ou que o controle de aluguel poderá resultar em uma escassez de habitação.
Entender esse tópico dará aos leitores uma recompensa prática fascinante. Novas perspectivas se abrem sobre comércio, negócios e políticas após aprender isso.
Continuando, o Modelo de Oferta e Demanda é um modelo de como os mercados funcionam. A economia adquiriu uma péssima fama porque às vezes parece que os economistas tentam explicar tudo usando a oferta e a procura. Como diria o famoso historiador inglês Thomas Carlyle: "Ensine a um papagaio os termos ‘Oferta e Demanda’ e você terá um economista".
Primeiramente, antes de ver como funciona o modelo, devemos estudar a lógica dos mercados. A maioria das atividades econômicas acontece em mercados, lugares onde os compradores e vendedores se reúnem para trocar dinheiro por bens ou serviços. Um detalhe interessante aqui é que um mercado não precisa ser físico, pode ser apenas no ciberespaço como uma lógica de música online. Mas a boa notícia é que não importa que tipo de arranjo institucional os mercados têm, todos eles tendem a se comportar da mesma forma, o que significa que podemos estudar os mercados em geral, em vez de ter que estudar cada um separadamente.
O Modelo Oferta e Demanda é utilizado para relacionar o número de pessoas produzindo ou comprando um bem, com o seu preço, mantendo assim as outras coisas constantes. Portanto, este modelo, que é muito simples, separa logicamente compradores de vendedores e então resume o comportamento de cada grupo com uma simples linha em um gráfico. Dessa forma, tem-se que o comportamento dos COMPRADORES é captado pela curva de DEMANDA, enquanto que o comportamento dos VENDEDORES é capturado pela curva de OFERTA.
Colocando essas duas curvas no mesmo gráfico, os economistas podem demonstrar como os compradores e vendedores interagem para determinar quanto de qualquer item em particular será vendido, bem como a que preço será vendido.
Mas antes de chegar nesse gráfico final vamos dar uma estudada de onde vem essa curva de demanda e a curva de oferta.
Quando as pessoas querem comprar coisas, os economistas se referem a esse desejo como demanda.
Porém, o mero desejo não constitui uma demanda, a demanda se refere a quanto as pessoas estão desejosas e dispostas a pagar por algumas coisas.
Os economistas gostam de diferenciar demanda de quantidade demandada. A demanda é geral para todos preços e preferências, já a quantidade demandada se refere a um preço. Essa diferença parece não ser importante, mas é bom entender.
Outra coisa a saber é que a quantidade demandada é inversamente proporcional ao preço, pois aumenta-se o preço diminuindo a quantidade demandada.
Gostos, preferências e rendas também influenciam a quantidade demandada. Um exemplo clássico são os jogos de futebol, o torcedor do Inter nunca comprará ingresso para assistir aos jogos do Grêmio, os torcedores do Corinthians sempre comprarão ingressos para ver seu time, muitas vezes independente do preço. Não importa o preço, os torcedores que adoram o time sempre terão uma alta quantidade demandada para ver seu time. Além do gosto e preferência, a renda também influencia na quantidade demandada. Na medida que se ganha mais dinheiro, as pessoas aumentam suas compras para certas mercadorias que sempre gostou e agora pode se dar o luxo de adquirir mais. Esses são chamados de bens regulares. Por outro lado, as pessoas diminuem a compra daquelas coisas que adquiriam apenas porque dado o seu baixo poder aquisitivo, não podiam comprar o que realmente desejavam. Estes são chamados de bens inferiores. Por exemplo, carros novos são bens regulares, enquanto que carros realmente velhos, com mau funcionamento, são bens inferiores, assim como salada orgânica ou produtos integrais.
Devido a essa enorme complexidade que vimos brevemente acima, como gostos, preferências, renda, os economistas simplificaram e dividiram tudo que poderia influenciar nossa quantidade demandada em apenas dois grupos: preço e o resto. Isso porque quando não separamos o preço do resto fica muito confuso e o que os economistas querem é focar unicamente no preço, e, além disso, quando colocamos a demanda no gráfico e criamos a curva de demanda, notou-se que os preços adquirem um efeito muito diferente das outras variáveis, que é o nosso estudo de agora.
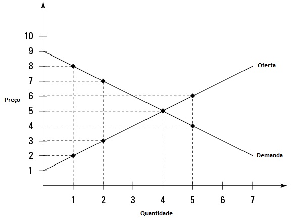
Se adicionarmos a procura de diferentes consumidores em um mercado, obteremos a curva de demanda para aquele mercado, como exemplo mostrado na figura abaixo:
Podemos considerar, por exemplo, como uma demanda por cenouras. No eixo vertical, está o preço do repolho. No eixo horizontal, estão os números ou a quantidade procurada de repolhos a um determinado valor. Se multiplicarmos, em determinado ponto, o preço pela quantidade demandada, teremos a renda total da venda. Por exemplo, o ponto A indica o preço de 2 reais para uma quantidade de 5 cenouras, assim o preço total seria de 10 reais.
Verifica-se que a curva de demanda inclina para baixo, indicando que preço e quantidade demandada são inversamente proporcionais, aumenta-se um e diminui-se o outro.
Anteriormente mencionamos que os economistas dividem todas as variáveis que poderiam afetar a demanda em dois grupos, preços e todo o resto. Geometricamente, esta divisão é refletida no fato de que as alterações nos preços movem-se ao longo da curva de demanda, enquanto que outras variáveis se combinam para determinar exatamente onde a curva está localizada. Por exemplo, quem não gosta de cenoura não está em nenhum ponto da figura, nem no ponto A ou qualquer outro ponto.
Quando existe uma mudança na demanda a curva pode se deslocar. Por exemplo, após um estudo médico foi divulgado um artigo na mídia afirmando que a cenoura prolonga a vida das pessoas. Nesse caso, as pessoas irão procurar por mais cenouras, fazendo com que a curva de demanda se desloque do ponto D para D' conforme a figura abaixo:
Neste gráfico, verifica-se que a demanda aumentou, ao passo que se a curva tivesse se deslocado para a esquerda, teríamos que a demanda diminuiu.
Ainda no gráfico analisamos os dois pontos A e A'. Ambos dividem o mesmo preço, porém para quantidades diferentes. Agora as pessoas procuram por 15 cenouras em vez de 5. Anteriormente, com 15 cenouras pagava-se 50 centavos cada uma.
Uma vez que o preço é o mesmo para os dois pontos, sabe-se que a mudança na quantidade demandada foi causada por alguma outra coisa além do preço. Se o preço tivesse baixado e a quantidade aumentasse, poderia-se inferir que esse aumento foi devido ao preço, mas aqui claramente não é o caso.
Portanto, qualquer coisa além do preço que afete essa quantidade de demanda, causa o deslocamento da curva, tanto para direita quanto para esquerda. Neste exemplo um estudo mudou a curva, mas isso poderia ser devido às mudanças na receita das pessoas, gosto ou preferência. Assim, toda vez que qualquer desses fatores se alteram, a curva de demanda se desloca, tanto para a esquerda como para a direita. Agora começamos a enxergar melhor porque os economistas dão essa ênfase para o preço no primeiro grupo e todas as outras coisas no segundo grupo, pode-se analisar sem considerar outras complexidades que o preço pode estar mexendo na curva da demanda, ou qualquer outra coisa fora o preço está deslocando a curva.
A inclinação da curva de demanda pode ser vista de formas diferentes. Se uma mercadoria baixo 1 real, uma pessoa pode comprar muito mais unidades porque isso a deixa feliz, ou comprar a mesma quantidade mesmo com a queda do preço, pois a pessoa pode ficar feliz com a queda do preço, mas preferir comprar outras coisas com essa economia.
De forma geral, com a diferença do preço sobre a mercadoria, pode-se ter uma curva muito inclinada, em que a pessoa não compra quantidades significativas mesmo com a diferença do preço, ou pouco inclinada, em que a pessoa compra muito mais com a queda do preço. A figura abaixo mostra essa diferença:
Nota-se que mesmo com o preço duas vezes mais barato (de 2 reais para 1 real), o gráfico da esquerda ficou com a curva muito inclinada, indicando que mesmo com uma forte alteração de preço, a quantidade não se alterou significativamente. Diferente do gráfico da direita, em que a quantidade triplicou.
Essa diferença é o resultado das diferenças com a qual reagimos às mudanças nos preços.
Mas essa interpretação pode deixar uma pessoa mais confusa. Analise agora por outro ponto, veja que quando o preço do produto dobrou, de 1 real para 2 reais, a pessoa do lado esquerdo continuou consumindo quase a mesma quantidade que anteriormente. Já o lado direito indica que a pessoa que consumia 15 passou a consumir apenas 5 unidades. Ou seja, a pessoa do gráfico esquerdo gosta muito mais do produto do que a pessoa que a consumia em maiores quantidades.
Isso significa que a pessoa do lado esquerdo está disposta a desistir de uma série de outras coisas, nas quais poderia ter gasto seu dinheiro, para poder continuar comprando quase a mesma quantidade de antes. Por outro lado, o gráfico do lado direito reage muito diferentemente. Embora a pessoa inicialmente compre mais dessa mercadoria do que a do lado esquerdo quando o preço é de apenas um real, o dobro do valor faz com que ela corte a compra para dez apenas. Quando o preço dobra, ele decide que é melhor cortar a compra, para gastar seu dinheiro em alguma coisa melhor.
Por fim, vamos finalizar este tópico falando de uma palavra muito conhecida pelos economistas e que o leitor já deve ter escutado: elasticidade.
A elasticidade é usada para descrever como a mudança em uma variável afeta outra variável.
Quando os economistas dizem "Elasticidade de Demanda", se referem a um conceito chamado de "Elasticidade-Preço da Demanda", que significa quanto a quantidade de demanda muda quando os preços se alteram. Pegando o último gráfico, a curva de demanda da esquerda indica MENOS elasticidade do que da direita, pois a alteração no preço faz com que a sua quantidade demandada caia muito menos do que a do gráfico da direita.
Agora vamos imaginar dois extremos de elasticidade conforme abaixo:
Verifica-se que a primeira curva de demanda começa perfeitamente vertical e a segunda começa perfeitamente horizontal.
A curva de demanda vertical, D, no gráfico esquerdo, é perfeitamente inflexível, porque exatamente Q unidades são demandadas, sem importar o preço. Crescem os preços, mas as unidades demandas continuam as mesmas.
Um exemplo disso são os remédios para salvar vidas, os recentes remédios da AIDS refletem perfeitamente esse gráfico, os preços continuam subindo e as quantidades demandas se mantêm para os pacientes em tratamento. Se as pessoas precisam de exatamente Q unidades para continuar vivendo, certamente pagarão por isso, qualquer que seja o preço.
No gráfico da direita tem-se que a curva de demanda horizontal, D’, é perfeitamente flexível. Essa inclinação indica que se o preço pudesse sofrer uma pequena alteração, a quantidade demandada seria grande. Como no gráfico anterior, vimos a curva mais inclinada quando as quantidades mudaram de 15 unidades para 5 unidades. Aqui representamos a mesma ideia, mostrando que uma quantidade pode se tornar ainda mais crescente se fizéssemos pequenos deslocamentos nessa linha horizontal inclinada. Ou seja, se os preços se mantêm iguais e a quantidade é crescente, caso tivéssemos até mesmo uma mínima variação nos preços faria brotar uma mudança bastante grande na quantidade demandada. Assim, graficamente se tivéssemos um preço acima de P' (mais caro) as quantidades seriam muito pequenas, se estivessem abaixo de P' (mais barato) teríamos uma quantidade demandada muito maior.
Um exemplo é um restaurante que adquire um número de ketchups por mês. Se o restaurante trabalha com as marcas X e Y, que possuem sabores muito próximos, a única coisa que o restaurante leva em consideração é o preço. Assim, quando o preço da marca X está mesmo que minimamente menor que o da marca Y, o dono do restaurante comprará toneladas da marca X e nada da marca Y. Portanto, quando a marca X for facilmente substituível pela marca Y, a demanda pela marca X tende na direção de ser PERFEITAMENTE ELÁSTICO também, ou seja, comparando duas variáveis tem-se que uma breve alteração nos preços prefere-se X do que Y em sua totalidade.
Dessa forma, se um empresário tem ciência da elasticidade, pode dizer quando é sábio aumentar os preços.
No entanto, é importante ressaltar que curvas de demanda perfeitamente flexíveis ou perfeitamente inflexíveis, como acima, não são normais. Quase todas as curvas de demanda inclinam-se descendentes, o que significa que mudanças de preços moderadas geram mudanças nas quantidades demandadas. Mais adiante nos estudos veremos mais sobre essa afirmação.
Os economistas começam afirmando, com relação à oferta de bens e serviços, que o fornecimento de coisas é caro. Qualquer empresário sabe que é preciso pagar pessoas para fornecer aquilo que as pessoas desejam. Além disso, quanto mais a quantidade de bens, maiores são os custos de cada unidade adicional.
Como o custo da produção aumenta conforme a produtividade também aumenta, tem-se que a curva da oferta possui uma inclinação ascendente.
A figura abaixo mostra um exemplo dessa curva ascendente:
Conforme podemos verificar, a oferta de uma mercadoria dada por S tem na sua curva de oferta uma inclinação ascendente em razão do aumento nos custos de produção.
O eixo vertical exibe o preço por mercadoria que é preciso pagar para conseguir uma certa quantidade dessa mercadoria.
Uma observação importante é que cada real mostrado no gráfico representa na curva de oferta o valor mínimo que se poderia pagar e ainda conseguir que ele produza a quantidade necessária. Por exemplo, no ponto A, podemos conseguir que esse vendedor produza cinco quantidade de uma mercadoria se pagar 0,50 centavos por unidade. No entanto, se lhe oferecer 0,49 centavos por unidade, ele recusará, pois ele possui custos (como mão de obra, insumos, operação das máquinas, etc), e só consegue cobri-los cobrando 0,50 centavos por mercadoria e não com 0,49 centavos.
Assim como ocorre com a curva de Demanda, os economistas dividem todas as coisas que podem afetar a quantidade fornecida em dois grupos: o preço e todo o resto. No entanto, as coisas que estão incluídas em todo o resto, dizem respeito aos custos de fornecimento do bem.
É importante observar que a curva de oferta pode variar drasticamente dependendo de cada tecnologia, pois ela pode gerar uma produtividade muito grande em comparação a outras, porém o custo também aumenta.
Portanto, pense na curva de oferta, e como ela responde às alterações nos preços. Os fornecedores observam os preços que estão sendo oferecidos e produzem tantas unidades quantas forem rentáveis, mas nada além. Porque os custos sobem a cada unidade adicional produzida, a única forma de conseguir que os fornecedores produzam mais é oferecendo a eles preços mais altos. Por esse motivo, aumentar ou diminuir os preços faz com que você se desloque ao longo da curva de oferta, conforme as quantidades oferecidas pelos fornecedores respondem à mudança de preços.
Como a estrutura de custos do fornecedor determina onde sua curva de oferta está localizada e como ela se inclina, as mudanças na estrutura dos custos causam alterações na curva de oferta. O gráfico abaixo ilustra o que falamos até agora sobre a curva de oferta:
O gráfico acima mostra uma variação nos custos de produção. Por exemplo, podemos imaginar a situação de um agricultor que produzia a quantidade e o preço de cenouras conforme a curva S0. Acontece que o governo proibiu a utilização de pesticidas na produção de cenouras, agora o agricultor vai precisar gastar com mais trabalhadores que passarão a cuidar e matar manualmente sem utilizar qualquer pesticida. Nesse caso, verifica-se que a curva passou a ser como S1 agora, pois os gastos do agricultor aumentaram.
Antes das novas regulamentações ambientais, o agricultor produziria cinco cenouras se alguém pagasse 0,50 centavos por unidade. Após a mudança política, seria preciso pagar 1,00 real para cada cenoura, se quiser que ele cultive cinco cenouras.
Portanto, conclui-se do gráfico que uma vez que seus custos de produção aumentam, o mínimo que você vai pagar para que ele produza qualquer quantidade solicitada de produtos também aumentará. Por conseguinte, sua curva de oferta pode ser entendida como um deslocamento vertical ascendente, de S0 para S1.
Agora vamos novamente usar as curvas extremas para ajudar no raciocínio. Duas curvas de oferta extremas nos ajudam a ilustrar como os custos de produção e os preços se combinam para determinar a quantidade que será fornecida a um determinado valor. Segue o gráfico abaixo:
O gráfico à esquerda mostra uma curva de oferta vertical e ilustra o que os economistas chamam de oferta perfeitamente não flexível ou inflexível.
Neste gráfico tem-se uma situação na qual o preço tem um efeito sobre a quantidade fornecida. Não importa o preço da mercadoria, ela sempre será fornecida. Como essa quantidade é indiferente ao preço, essa situação é chamada de inflexível.
vários exemplos de ofertas inflexíveis como, por exemplo, o diamante hope que é único de sua espécie e não importa quanto alguém queira pagar sua curva de oferta será sempre vertical, outro exemplo é a terra que tem uma quantidade limitada e seu preço pode aumentar ou baixar mas a quantidade não se altera, e por fim, outro exemplo é o espectro eletromagnético, sabe-se que há apenas um conjunto limitado de frequências de rádio que pode ser compartilhado, não há nenhuma maneira de fazer mais.
Os governos lucram cada vez mais com os leilões de espectros de frequência, pois como a oferta do espectro é fixa e controlada pelo governo, por força da lei e convenção, eles puderam fazer um leilão e receber altos valores por ele. Redes de celulares compram a preços altos, porque não existem outros meios para suprir o espectro.
Já o gráfico à direita mostra uma curva de oferta horizontal, e ilustra o que os economistas chamam de oferta perfeitamente flexível. Assim, no gráfico da direita temos um caso completamente inverso, em que a curva de oferta é perfeitamente horizontal. Assim, o fornecedor está produzindo algo que não tem aumento no custo de produção, qualquer que seja a quantidade de unidades que se queira produzir, o custo delas será de apenas P’ reais para uma unidade.
Consequentemente, quer você queira apenas uma unidade ou um milhão de unidades, o custo por unidade será sempre de P’ reais.
Obviamente no mundo real, provavelmente, não existem curvas de oferta que sejam perfeitamente flexíveis, pois os custos de produção sempre aumentam com os níveis de produtividade. Mas no mundo virtual elas são muito comuns. Exemplos são as buscas do Google, provavelmente buscas extras não alteram os custos para o Google.
Anteriormente estudamos as duas separadamente, agora é hora de juntá-las para mostrar como os mercados determinam as quantidades, bem como os preços dos bens e serviços vendidos.
A figura abaixo mostra as duas curvas no mesmo gráfico. A curva da demanda está representada com a letra D, enquanto que a curva da oferta está representada com a letra S.
O equilíbrio do mercado (preço e quantidade) acontece onde a curva de demanda CRUZA com a curva da oferta, conforme mostrado no tracejado.
Portanto, nessa região tem-se que os compradores demandam Q* naquele preço e os vendedores oferecem Q* naquele preço.
Como neste ponto a demanda é igual a oferta, ambos produtores e consumidores estão contentes. Os consumidores conseguem exatamente a quantidade que desejam comprar ao preço de P* e os produtores vendem exatamente a quantidade que querem vender ao preço de P*.
Esta situação em que todos estão felizes é chamada de equilíbrio.
O que chama mais atenção olhando este gráfico é o fato de que, em qualquer outro preço diferente de P*, há sempre algum tipo de pressão exercida, tanto por vendedores quanto por compradores, para trazer o modelo de volta ao equilíbrio do mercado de preço e quantidade. O resultado agradável é que não importa onde o mercado começa, ele sempre termina voltando ao equilíbrio. Isto significa que os mercados são autocorretivos, e se você sabe onde as curvas de demanda e oferta estão, sabe onde os preços e as quantidades terminarão. Especialmente gratificante é o fato de que as ações dos participantes do mercado — compradores e vendedores — movem o mercado de volta ao equilíbrio, sem que seja necessária qualquer intervenção externa, tal como uma regulamentação governamental.
Explicando de maneira mais prática, vamos primeiramente analisar o gráfico abaixo para facilitar a explicação:
Neste gráfico, podemos observar um preço PH que começa mais elevado que o preço de equilíbrio P*.
Ao preço PH temos uma quantidade demanda pelos compradores, QD. Essa quantidade QD é menor que a fornecida pelos vendedores, que seria QS.
As linhas pontilhadas mostram onde o preço PH corta as curvas de demanda e oferta. Ela mostra que a esse preço a demanda do mercado (QD) está baixa em relação a oferta desse vendedor (QS), ou seja, temos muita mercadoria a esse preço, mas estão querendo demandar pouco.
Os economistas se referem a tal situação como excesso de oferta, e ela pode não ser um equilíbrio, porque os vendedores não são capazes de vender tudo o que desejam ao preço de PH.
Assim, o vendedor vai olhar aquela enorme pilha de produtos e precisa fazer alguma coisa, o que ele normalmente faz é quando não conseguem desaguar suas mercadorias pelo preço atual: eles fazem uma liquidação. Então os vendedores baixam os preços, e os mantêm baixos até que a oferta não mais exceda a demanda.
Podemos verificar na acima que isso significa que os vendedores continuam baixando os preços até atingir o valor de P*, porque este é o único preço em que a quantidade demandada pelos compradores é igual a quantidade que os vendedores querem oferecer.
Outra situação é avaliarmos o oposto da anterior, ou seja, um excesso de demanda. A figura abaixo ajuda a entendermos melhor:
Verificamos que o preço PL é menor que o preço de equilíbrio do mercado P*. Como o preço está baixo, teremos como consequência um excesso de demanda.
Pode-se concluir então que temos uma carência de unidades. Como resultado, os compradores começam a oferecer preços maiores, competindo uns contra os outros por causa da quantidade insuficiente de mercadorias.
Assim, enquanto o preço for inferior a P*, existirá sempre certo grau de carência, e o preço continuará a aumentar. Isto significa que, sempre que você iniciar com um preço menor que P*, ele é levado de volta a P*, retornando ao equilíbrio de mercado que é o único lugar onde não existe carência e nem excesso de oferta.
Existe uma outra situação em que uma das curvas se desloca, nesse caso o mercado precisa novamente se adaptar a essa nova situação, ou seja, preço e quantidade precisam se ajustar à nova oferta ou demanda.
Segue o gráfico abaixo que ajudará no entendimento:
Podemos observar que a curva de demanda se deslocou para direita, de D0 para D1, enquanto a curva de oferta não se alterou.
Nota-se que antes do deslocamento o preço de equilíbrio do mercado era P*0 e a quantidade de equilíbrio de mercado estava em Q*0.
Quando a curva de demanda se desloca para a direita, para D1, o preço permanece momentaneamente o mesmo em P*0. Mas este preço não pode se manter, porque com uma nova curva de demanda há um novo excesso nessa procura por unidades da mercadoria.
A esse preço P*0 teremos um excesso de quantidade demandada para o que está sendo oferecido, pois temos uma oferta de produtos estável para a quantidade maior sendo solicitada, veja que a curva da oferta não mudou, o que mudou foi a demanda maior. Para produzir mais, o comprador também precisará de mais dinheiro.
Assim, como já examinamos anteriormente, qualquer tipo de carência faz com que os compradores subam o preço. O resultado é que o preço sobe e continua subindo até atingir P*1, o preço onde a curva de demanda D1, cruza a curva de oferta, S.
Tanto a quantidade quanto o preço sobem na zona de equilíbrio, o que faz total sentido, pois uma vez que, se a demanda aumenta e os compradores estão dispostos a pagar mais por algo, pode-se esperar que mais quantidades sejam oferecidas. Além disso, o preço sobe a partir de um equilíbrio para outro porque, para obter fornecedores para abastecer mais em um mundo de custos crescentes, é necessário pagar muito mais a eles.
Uma coisa muito mais sutil de perceber, porém, é que o aclive da curva de oferta interage com a curva de demanda para determinar quão grandes serão as mudanças nos preços e nas quantidades. Para facilitar basta pensar numa curva de oferta vertical, a quantidade não pode ser aumentada, está fixa nesta reta vertical, porém o preço varia, assim se aumentar a demanda somente o preço aumentará. Assim, se temos 10 unidades a 1 real e a demanda for de 200 unidades, o preço pode variar, mas a quantidade ofertada será sempre igual, está reta fica fixa. Agora vamos inverter essa reta vertical e colocar totalmente na horizontal, nesse caso, as quantidades variam, mas o preço é sempre estático. Assim, um deslocamento da demanda à direita apenas aumenta a quantidade porque o preço está fixado em P’.
Quando citamos esses dois casos extremos é para ressaltar que nem a demanda e nem a oferta estão em completo controle. A sua interação conjunta tanto da curva de oferta quanto da demanda é que determinam os preços e as quantidades de equilíbrio, e como elas mudam se a curva de demanda ou de oferta se deslocar.
Agora por fim, vamos analisar quando a curva de Oferta se desloca e a curva da Demanda permanece estável.
A figura abaixo mostra essa situação graficamente para ajudar o entendimento:
Podemos notar o deslocamento da curva de oferta de S0 para S1, isso se deve a um aumento nos custos de produção. A seta mostrada na figura mostra o deslocamento da curva. Ou seja, como essa curva está indo para cima, tem-se que está ocorrendo uma diminuição na oferta. Lembre-se, quando uma reta ou uma curva se desloca para direita ou para baixo tem-se um aumento, quando desloca-se para esquerda ou para cima tem-se uma diminuição.
O deslocamento na oferta fará em algum momento com que o equilíbrio do mercado se ajuste.
O equilíbrio original está no preço P*0 e na quantidade em Q*0, que é o ponto em que a curva de demanda, D, e a curva de oferta original, S0, se cruzam.
Quando os custos de produção aumentam, a curva de oferta se desloca para S1.
Por um momento, o preço permanece em P*0. Mas este preço não pode continuar, porque a quantidade de demanda a este preço, Q*0, excede a quantidade oferecida, QS1.
Esta situação de excesso de demanda fará com que o preço suba até atingir o novo preço de equilíbrio de P*1, no qual o preço de quantidade demandada é igual ao de quantidade oferecida em Q*1.
Comparando esta situação de aumento nos custos com a situação anterior que analisamos o aumento de demanda, nota-se que em ambos os casos, o equilíbrio dos preços aumenta. Entretanto, repara-se que as quantidades de equilíbrio vão em direções opostas. Um aumento na demanda causa um aumento na quantidade de equilíbrio, mas um aumento nos custos causa uma redução na quantidade de equilíbrio. Veja que o Q regrediu na reta inferior.
A razão dessa queda na quantidade de equilíbrio é porque o aumento nos custos de produção não afeta apenas o produtor. Para dar continuidade aos negócios, o produtor precisa repassar este aumento dos custos. Mas quando se tem esse repasse, há a tendência de desencorajar os compradores.
O resultado, portanto, é que a quantidade de equilíbrio cai, porque alguns compradores não desejam pagar os altos custos. Aqueles que ainda desejam comprar estão dispostos a pagar os custos mais altos, o que se reflete no aumento do preço de mercado.
Portanto, o mercado sempre se ajusta até que o preço e a quantidade sejam determinados pelo ponto em que as curvas de oferta e demanda se cruzam. O preço de equilíbrio tem uma propriedade muito interessante, em que todos que desejam comprar por um dado preço, podem fazê-lo, enquanto que todos aqueles que desejam vender pelo mesmo preço, também podem (a quantidade demandada é igual à quantidade oferecida). No entanto, o preço de mercado nem sempre é o preço politicamente conveniente, isso porque intervenções podem ocorrer, principalmente por parte do governo. Pessoas influentes podem achar que um preço de mercado está alto ou baixo demais, assim cria-se todo um conjunto de problemas que pode prejudicar toda uma cadeia, muitas vezes prejudicando até mesmo aqueles cujas intervenções visavam ajudar.
Obviamente que não vamos ser categóricos em afirmar que o governo nunca deve intervir na economia em nenhuma situação. Há situações que são necessárias, mas na maioria das vezes historicamente observa-se que mais atrapalha do que ajuda.
Esta decisão é muito importante porque são os desejos dos seres humanos que dirigem a economia. As empresas não produzem bens e serviços aleatoriamente, pelo contrário, elas produzem aquilo que as pessoas desejam comprar e estão dispostas a gastar dinheiro nelas.
A grande dificuldade deste estudo é que as pessoas têm muitas coisas diferentes para gastar. Mesmo analisando uma pessoa com uma certa quantidade de dinheiro dentro de uma loja já é muito difícil tentar inferir qual será o gasto dela. Mas os economistas precisam apresentar uma forma para explicar como esse dinheiro seria gasto, mesmo com milhares de itens à venda.
O que chama mais atenção é que um economista pode explicar não apenas quais itens você compraria, mas também quanto de cada você compraria. Ou seja, os economistas podem explicar não apenas o que uma pessoa procura, mas também quanto essa pessoa demanda, que é de onde vêm as curvas de demanda que já estudamos anteriormente e será retomada aqui.
Primeiramente devemos entender o conceito de UTILIDADE, que significa como os economistas medem a felicidade humana. Os economistas pressupõem que todas as pessoas agem de forma a maximizar sua felicidade, mas as suas ações são condicionadas, principalmente, pelos limitados orçamentos. Assim, as pessoas precisam fazer escolhas, pois não há dinheiro ou tempo para tudo que se deseja. Por isso as pessoas precisam fazer escolhas corretas, de modo a extrair a maior felicidade possível com seus limitados recursos. Esse tipo de situação também ganha um nome pelos economistas: problemas de otimização condicionada.
Quando as pessoas precisam escolher entre diversos bens e serviços, elas precisam de uma forma para compará-los. Comparar os preços é muito fácil, mas comparar os benefícios é muito mais complicado. Pode-se pensar como é possível comparar se é mais benéfico gastar 20 reais em uma barra de chocolate ou em uma camiseta.
Obviamente que as pessoas individualmente conseguem saber o que é melhor para si. Já para os economistas eles fazem isto atribuindo uma medida em comum de felicidade para cada coisa possível que elas poderiam comprar e usar. Os economistas chamam esta medida comum de felicidade de UTILIDADE, e imaginam que, se pudessem, de alguma forma, entrar no cérebro das pessoas e medir a utilidade, poderiam fazê-lo utilizando uma unidade a qual eles se referem como útil.
Uma das formas de utilizar essa medida chamada "útil" seria classificar de forma ordinal as coisas (como os números cardinais: l, 2, 3 ...). Por exemplo, uma pessoa poderia atribuir a um pudim a quantidade de 25 úteis, ou ao pôr do sol 70 úteis. As pessoas desaprovam a utilidade cardinal porque não fica claro sequer se elas fazem este tipo de avaliação — afinal, quantos úteis você acha que receberá por um dia de sol ou pelo sorriso de uma criança?
Assim, tem-se uma forma ordinal de ser feita essa classificação, que um sistema em que você simplesmente classifica as coisas. Por exemplo, em vez de dizer que o pôr do sol tem uma utilidade de 70, que o torna preferível ao pudim com uma utilidade de 25, pode-se apenas dizer que ele é preferível ao brownie. Este sistema traz um sentimento muito mais intuitivo para a maioria das pessoas, e elimina a necessidade de tentar medir as coisas usando uma unidade imaginária chamada útil.
Estudos apontam que a utilidade ordinal é melhor que a cardinal, no entanto, os economistas ainda assim utilizam as duas dependendo da situação.
Após estudarmos esses dois conceitos importantes já podemos falar da Utilidade Marginal Reduzida. Quando os economistas estudam as pessoas, eles precisam levar muitas coisas em consideração, inclusive que elas se entediam com as coisas que gostam e se cansam de repetição e monotonia.
Um exemplo acontece com uma comida preferível como, por exemplo, a pizza. Uma pessoa que gosta muito de pizza e não comesse por muito tempo, teria uma enorme quantidade de utilidade para comer um pedaço. Mas, o estímulo para pizza diminui logo após o primeiro pedaço, e comer um segundo pedaço ainda será muito bom, mas não tão bom quanto o primeiro. E se comer um terceiro pedaço, ele não será tão bom quanto o segundo. E se continuasse comendo e comendo, os pedaços adicionais de pizza logo faria a pessoa passar mal e produziriam dor em vez de prazer. Este fenômeno se aplica a quase tudo, menos a vícios que têm uma situação diferente.
Falando em termos de utilidade pode-se verificar que a cada pedaço os "úteis" estariam aumentando, mas em menor quantidade que a anterior, até que seja um momento que há um decréscimo. Por exemplo, o primeiro pedaço poderia ter 20 úteis, o segundo mais 16 útil, o terceiro mais 10 úteis, até que essa utilidade caia para zero e fique até mesmo negativa.
Posteriormente veremos uma tabela que ajudará a entender melhor essa utilidade sendo medida.Pode-se notar que o primeiro pedaço trouxe 20 úteis, o segunda pedaço trouxe 4 úteis a menos, o terceiro pedaço trouxe uma utilidade de 6 úteis a menos em relação ao anterior, fazendo assim essa utilidade extra ser reduzida, apesar de ainda ter utilidade, mas diminuindo ao longo dos pedaços.
Os economistas se referem a este fenômeno como Utilidade Marginal Reduzida, pois a utilidade extra, ou a utilidade marginal, que cada pedaço sucessivo traz causa uma diminuição relativas a utilidade marginal trazida pelo primeiro pedaço (lembre-se que só nos importa a utilidade extra de cada pedaço, a utilidade marginal).
Diminuir a utilidade marginal é simplesmente um reflexo do fato de que as pessoas ficam fartas ou entediadas com o que antes era objeto de desejo. No caso de comida e bebida, o apetite diminui a cada unidade que consomem.
Segue abaixo uma tabela mostrando como a utilidade vai sendo alterada conforme mais pedaços são consumidos:
| Pedaço | Utilidade Total | Utilidade Marginal |
| 1 | 20 | 20 |
| 2 | 36 | 16 |
| 3 | 50 | 14 |
| 4 | 58 | 8 |
| 5 | 64 | 6 |
| 6 | 68 | 4 |
| 7 | 70 | 2 |
| 8 | 70 | 0 |
| 9 | 68 | -2 |
| 10 | 64 | -4 |
A diminuição da Utilidade Marginal Reduzida para todos os pedaços de pizza começa com a segunda, porque cada pedaço sucessivo tem uma utilidade marginal menor que o anterior. Mas, as utilidades marginais ainda são positivas para todos os pedaços até o sete, e tornam-se negativas apenas para os de número nove e dez, onde ela passa a ser chamada de Utilidade Marginal Negativa. Nesse caso, observa-se que até o oitavo pedaços essa pessoa poderia consumir os pedaços de pizza porque apesar da utilidade marginal estar diminuindo ela ainda é positiva, e deveria evitar o nono e o décimo pedaços.
Podemos notar que esse estudo da Utilidade Marginal Reduzida torna esse estudo de escolhas do ser humano bastante interessante, pois independente da pessoa preferir uma coisa ou outra, isso pode não ser determinante, porque a escolha da pessoa depende até mesmo do que ela comeu.
Isso pode acontecer com algo que preferimos em relação a outra coisa, mas que já temos em demasia. Por isso, muitas vezes uma simples pergunta sobre preferir X ou Y pode trazer outra resposta, mesmo que outra opção seja preferida.
Outra situação é quando a pessoa gosta tanto de X quanto de Y. Suponha que a pessoa vá até um bar que vende apenas esses dois produtos. Dado o orçamento limitado que a pessoa tem, ela precisa comprar tantas utilidades quanto possível. Tem-se agora que a utilidade marginal por unidade vai contar para as pessoas.
Por exemplo, vamos recolocar a tabela anterior dos pedaços de pizza, mas com duas colunas a mais na direita informando quanto seria essa utilidade dado um valor por unidade:
| Pedaço | Utilidade Total | Utilidade Marginal | Utilidade Marginal a 1 real por pedaço | Utilidade Marginal a 2 reais por pedaço |
| 1 | 20 | 20 | 20 | 10 |
| 2 | 36 | 16 | 16 | 8 |
| 3 | 50 | 14 | 14 | 7 |
| 4 | 58 | 8 | 8 | 4 |
| 5 | 64 | 6 | 6 | 3 |
| 6 | 68 | 4 | 4 | 2 |
| 7 | 70 | 2 | 2 | 1 |
| 8 | 70 | 0 | 0 | 0 |
| 9 | 68 | -2 | -2 | -1 |
| 10 | 64 | -4 | -4 | -2 |
De forma resumida estas duas últimas colunas calculam quanto custa para obter alguma felicidade adicional (utilidade marginal), se a maneira para conseguir isto for comprar pedaços de pizza. Pode-se observar que quando paga-se mais por cada pedaço (2 reais), essa quantia gasta nos traz menos utilidade marginal do que quando a pizza custa apenas 1 real por pedaço. Por exemplo, visto que cada pedaço custa agora 2 reais, quando compra-se o primeiro pedaço (e isto traz 20 úteis a 1 real) estamos agora obtendo apenas 10 úteis por cada quantia gasta a 2 reais.
Voltando aos produtos X e Y, imagine que tem-se 10 reais para gastar no bar que possui apenas esses dois produtos, na qual gostamos muito.
Supondo que X custe 1 real e Y custe 2 reais, poderia-se como uma primeira alternativa gastar todo dinheiro em X ou todo dinheiro em Y. Dado que gastar 10 reais em X teríamos 10 unidades de X com 64 úteis de satisfação, e gastar 10 reais em Y teríamos 5 unidades de Y com 80 úteis de satisfação. Se essas fossem as duas únicas opções, uma pessoa gastaria todo dinheiro em Y, que traria mais satisfação que X.
Entretanto, há algo muito melhor em que podemos obter muito mais utilidade total se mesclarmos um pouco e gastar o dinheiro um pouco em X e um pouco em Y. Veja que não importa o produto, queremos comprar a utilidade.
A única coisa que complica este processo, de gastar cada real em qualquer produto que trará a maior utilidade, é o fato de que você tem utilidade marginal reduzida para ambos produtos, X (64) e Y (80), o que quer dizer que a quantidade de utilidade que você será capaz de comprar com cada real extra gasto, dependerá de quanto de X ou Y você já comprou.
Vamos supor que o produto X seja a pizza conforme vimos na tabela anterior. Segue a tabela abaixo da utilidade do produto Y:
| Quantidade de Y | Utilidade Total | Utilidade Marginal | Utilidade Marginal 2,00 por unidade |
| 1 | 20 | 20 | 10 |
| 2 | 38 | 18 | 9 |
| 3 | 54 | 16 | 8 |
| 4 | 68 | 14 | 7 |
| 5 | 80 | 12 | 6 |
Dado que se gastarmos o primeiro real teríamos 20 úteis em X ou teríamos que gastar 2 reais (preço por unidade de Y) e um retorno de 10 úteis.
Portanto, podemos gastar menos (1 a real a unidade de X) e ainda ter uma satisfação melhor.
Agora considerando o próximo real e obtermos mais um pedaço de pizza, teríamos 16 úteis usando mais 1 real. Mas, se usássemos 2 reais no produto Y acima, teríamos 10 úteis, o que ainda é pior que o produto X, assim compra-se novamente X.
O terceiro real também será melhor gasto em X, pois teria 14 úteis contra 10.
No quarto real a situação muda porque uma quarta unidade de pizza traria 8 úteis contra 10 do produto Y, por isso gastamos o quarto e quinto real no produto Y.
No sexto e sétimo real também gastamos com Y que traz 9 úteis contra 8 do quarto pedaço do produto X.
Podemos notar que o oitavo real traz para ambos produtos 8 uteis, portanto, a melhor opção seria comprar um produto Y (9 reais no total) e mais um produto X (completando o gasto de 10 reais).
Todas essas compras intercaladas daria um total de 112 úteis, contra 64 úteis comprando apenas o produto X ou 80 úteis comprando apenas Y.
A tabela abaixo resume as escolhas realizadas com cada real:
| Unidade de moeda | Melhor Escolha | Utilidade Marginal |
| 1 | X | 20 |
| 2 | X | 16 |
| 3 | X | 14 |
| 4 | Y | 10 |
| 5 | Y | 10 |
| 6 | Y | 9 |
| 7 | Y | 9 |
| 8 | X | 8 |
| 9 | Y | 8 |
| 10 | Y | 8 |
| Total de útils: 112 |
Portanto, dados este orçamento e estes preços, a quantidade demandada de X é de quatro unidades e de Y é de três. O processo de maximizar a utilidade também é a base da curva de demanda e a relação entre a quantidade demandada e o preço, mas isso veremos mais adiante.
Após ver esse passo a passo para determinar como gastar da melhor forma uma certa quantidade de dinheiro, já podemos realizar essa operação de forma mais rápida utilizando uma fórmula. Essa fórmula fórmula guia as pessoas para maximizar a utilidade total que elas podem obter no gasto de qualquer orçamento, não importa quantos bens existam para serem escolhidos ou quanto cada um deles custa.
Primeiramente, de forma a manter as coisas simples, começaremos mostrando a versão da fórmula que se aplica para decidir como gastar melhor o orçamento quando há apenas dois produtos ou serviços para serem escolhidos.
Quando entendemos a versão com dois produtos, a versão com múltiplos produtos é bem mais fácil.
Assim, chamamos os dois produtos de X e Y, e seus respectivos preços são Px para cada unidade de X, e Py para cada unidade de Y. Fora isso, suas respectivas utilidades marginais são MUx e MUy. A fórmula é dada abaixo:
MUx = MUy
Px = Py
A fórmula diz que para a pessoa alocar da melhor forma possível seu orçamento limitado, deve-se alocar a Utilidade Marginal de X e Y para a melhores quantidades de X e Y. Se olharmos novamente a tabela anterior, pode-se notar que a quantidade mais adequada de cada produto é um total de quatro unidades de X e três de Y.
Além disso, a utilidade marginal para a quarta unidade de X e a terceira de Y são, de fato, iguais a 8 úteis, exatamente como o preceito da fórmula na equação.
Nos estudos acima demonstramos por que a utilidade marginal tem que ser igual se quisermos maximizar a utilidade ao gastar um orçamento limitado. Se as utilidades marginais não forem iguais, iremos continuar reajustando as compras até que elas sejam. O porquê isso ocorre veremos agora.
Vamos primeiro imaginar um exemplo extremo em que compramos 5 unidades de Y com todos os 10 reais, obtendo assim 6 úteis. Em contraste, se tirar o dinheiro desse produto Y e usá-lo para comprar a primeira unidade de X, isto traria 20 úteis. Claramente, deveríamos reduzir a compra de Y, de modo a aumentar a compra de X.
Assim, continua-se comprando menos Y e mais X até chegar à combinação de quatro unidades de X e três de Y. Isto é, reajuste meus gastos até que a utilidade marginal de ambas, X e Y, sejam iguais, como na equação.
O mesmo se aplica quando gastamos tudo em X, a décima unidade de X será -4 úteis, conforme a tabela. Entretanto, a utilidade marginal de Y é 10, portanto, tira-se dinheiro de X para usá-lo a fim de aumentar a compra de Y.
Por fim, é preciso destacar a inflação nesse estudo. Imagine que tenhamos uma inflação de 50%, todos os produtos subiriam igualmente seus preços, assim como seu poder de compra. Nesse caso, nada se alteraria, veja que o preço no denominador da equação anterior seria simplificado.
Mas sabemos que o mundo real não é assim. Alguns produtos sobem mais do que outros e as pessoas deixam de comprar quantidades desses produtos que estão subindo mais. Por isso, que a inflação pode ser determinante para algumas empresas, elas podem perceber que seus produtos tiveram uma queda grande em alguns produtos e precisariam reagir rapidamente a isso.
A fórmula anterior também pode ser generalizada para ser aplicada a muitos produtos. Por exemplo, no caso de três bens, organizaríamos a compra, de modo a incluir uma última unidade de cada um dos três produtos X, Y e Z:
MUx = MUy = MUz
Px = Py = Pz
Se qualquer um dos três produtos tiver uma utilidade marginal maior que os outros, reorganizamos as compras para comprar menos dos outros e mais daquele. E assim continuamos reorganizando até que a equação acima seja verdadeira.
O último estudo desta seção falará sobre a curva de demanda que é derivada da Utilidade Marginal Reduzida.
A utilidade marginal reduzida é uma das razões para a curva de demanda de inclinação decrescer. Vimos isso quando falamos sobre os pedaços adicionais de pizza que diminuem a utilidade. No entanto, a curva de demanda precisa levar em consideração também o efeito dos preços sobre a quantidade demandada (conforme vimos anteriormente nas curvas de demanda), e contemplar mais de um produto, não apenas um produto isolado.
Um exemplo muito clássico para ver como a quantidade demandada se altera quando mexemos no preço, basta pegar o exemplo anterior que tínhamos os produtos X e Y e alterar o preço da unidade de X para 2 reais.
Essa simples mudança altera completamente a quantidade demandada. Assim, dobrar o preço de X significa que a utilidade marginal por unidade gasta em cada unidade é exatamente metade do que era antes.
Fica como estudo você criar uma nova tabela de como gastaríamos o orçamento da melhor maneira com X valendo agora 2 reais.
Segue abaixo a resposta:
| Unidade de moeda | Melhor Escolha | Utilidade Marginal |
| 1 | X | 10 |
| 2 | Y | 10 |
| 3 | Y | 10 |
| 4 | Y | 9 |
| 5 | Y | 8 |
| 6 | X | 8 |
| 7 | Y | 8 |
| 8 | Y | 8 |
| 9 | Y | 8 |
| 10 | Y | 8 |
| Total de útils: 90 |
Nota-se que dobrar o valor de X reduziu a quantidade demandada de X, e se aumentássemos ainda mais o preço teríamos apenas uma unidade de X. Se chegarmos ao preço de 3 a unidade estaríamos com o produto X completamente fora do mercado, já que a utilidade obtida pelo gasto de seus 10,00 reais em cinco unidades de Y seria maior do que a utilidade obtida por uma unidade de X. Em outras palavras, substituiriamos os produtos em direção ao bem mais em conta, a fim de obter o máximo de utilidade possível em geral.
Esse cenário é chamado pelos economistas de "Efeito de Substituição à Mudança de Preço".
Então, quando o preço de um produto sobe e obtém-se menos utilidade pela compra, este será substituído pelo bem que mais favorece. Veja que o aumento do produto X deixou a pessoa mais pobre, portanto, menos feliz, isso também explica o útil total ter caído de 112 para 86, mesmo com a reorganização das quantidades de consumo para tirar o maior proveito da situação, o aumento de preço ainda conta muito. Isso também tem um nome para os economistas, que o chamam de Efeito-Renda.
Para montarmos a curva de demanda a situação anterior fazemos o gráfico conforme abaixo:
Pode-se verificar como o aumento do preço afetou a curva de demanda.
O preço de Y não alterou, continuou em 2 reais, mas a demanda por Y aumentou, portanto, a curva de demanda de Y foi deslocada para a direita.
O gráfico abaixo mostra o deslocamento na curva de demanda de Y quando alteramos para 3 reais o valor de X:
Eventos como este, em que as mudanças nos preços de um bem afetam a quantidade demandada de outro, são chamados Efeitos de Preços Cruzados.
Por outro lado, quando uma mudança no preço de um bem afeta sua própria quantidade demandada, temos um Efeito de Preço Próprio.
Essa curva poderia se deslocar para esquerda também, causando uma diminuição na quantidade de Y. Por exemplo, pessoas que compram X poderiam comprar também Y, pensando num pacote, como guaraná e pipoca.
Se o preço de X aumenta, as pessoas poderiam comprar menos X e menos Y também, para não sobrecarregar o pacote. Assim, a quantidade demandada poderia diminuir para ambos os produtos.
Continuando nosso estudo sobre microeconomia, nesta seção veremos vários conceitos relacionados às empresas que são as responsáveis por quase tudo na nossa vida, como aquilo que bebemos, comemos, usamos, dirigimos, etc.
Existem alguns conceitos iniciais sobre as empresas, primeiramente elas sofrem muita concorrência, qualquer empresas pode entrar e sair na indústria, e além disso, as empresas querem ao máximo maximizar seus lucros, fabricando exatamente o nível de produção no qual o custo de uma unidade a mais seja exatamente igual ao aumento na receita que a empresa obtém ao vender aquela unidade. Até mesmo empresas que não sofrem concorrência se comportam de forma similar àquelas que sofrem com a concorrência.
As pessoas criam empresas com a finalidade de produzirem coisas. A motivação das pessoas criarem uma empresa pode ser inúmeras como altruísmo, felicidade, prazer, entre outras, no entanto, os economistas resumem isso ao objetivo principal que é fazer o máximo de lucro possível. Obviamente que se você não tiver lucros em longo prazo, não terá um negócio por muito tempo. Os lucros sempre devem ser considerados em algum nível.
Os lucros nada mais são do que a renda da venda menos os custos de produção. Se obtemos lucro quer dizer que as pessoas valorizam mais o que quer que estejamos vendendo do que valorizamos o custo de produzi-lo. Além disso, os lucros podem ser reinvestidos, criando mais coisas, de maior valor para mais pessoas, ou então gerando mais empregos. Assim, a existência do lucro é meramente uma forma de dizer que, em algum nível, as pessoas valorizaram o empreendimento o suficiente para que se mantenha os negócios.
As empresas podem ou não ter concorrência, quando não possuem temos o monopólio (somente uma empresa em seu ramo de atividade), se tivermos uma empresa que compete com muitas outras que produzem mercadorias iguais temos uma concorrência perfeita. Entre esses dois extremos temos ainda o oligopólio, em que existem duas, três ou (no máximo) um pequeno número de empresas em um determinado ramo de atividade, e a concorrência imperfeita (monopolista), em que existem muitos concorrentes, mas cada um produz mercadorias singulares.
Analisando o comportamento das empresas na concorrência perfeita, tem-se que cada empresa é apenas uma entre várias, cada uma delas representa uma parte muito pequena do ramo de atividade e todas elas vendem produtos iguais ou semelhantes.
Como essas empresas não têm um grande diferencial sobre as outras, até mesmo a mais poderosa empresa pode esperar controlar apenas duas coisas: quanto de seus produtos fabricar e qual preço cobrar. Mas como essas empresas não possuem controle sobre os preços, pois como existem muitas empresas nesse ramo ela não consegue sozinha mexer no mercado simplesmente alterando seu preço, a lista na verdade fica restrita a um único item: a única coisa que essas empresas podem controlar é quanto produzir.
Dessa forma, as empresas na concorrência perfeita escolhem produzir qualquer quantidade que maximize seus lucros. Este fato é matematicamente conveniente, porque constata que a quantidade de produtos que uma empresa escolhe produzir controla as duas coisas que determinam os lucros: total de receitas e total de custos.
Assim, o lucro de uma empresa é definido simplesmente como seu total de receitas menos seu total de custos, conforme a fórmula abaixo:
Lucro = TR - TC
TR é o Total de Receitas, e TC é o Total de Custos na fórmula.
O Total de Receitas é simplesmente a quantidade, q, de sua produção que ela escolhe vender, multiplicado pelo preço de mercado, p, que ela pode obter para cada unidade.
TR = p x q
Por exemplo, se um vendedor de laranja vende cada laranja a 1 real, produzindo 37 laranjas ele terá uma receita total de 37 reais.
Porém, esse preço que o vendedor está pedindo está fora de alcance, ele só consegue controlar quantas maçãs vender.
Assim, uma empresa pode determinar sua receita total decidindo quão grande ou pequeno será q. No entanto, embora cada unidade q contribua para a receita da empresa, o custo de cada unidade de q manufaturada depende de quantas unidades de q já foram produzidas, por isso, de maneira geral, os custos tendem a aumentar à medida que as empresas produzem mais e mais, na qual cada unidade sucessiva custa mais que a unidade anterior. Este fato acaba limitando o número de unidades que uma empresa deseja produzir. Um exemplo é o vendedor de laranjas que possui um custo inicial de 20 centavos para produzir a primeira maçã, a segunda custa 20 centavos, a terceira 30 e assim por diante. Nesse caso, ele não produzirá mais que 10 maçãs no atual processo de fabricação dele, pois acima disso ele não teria mais lucro.
Portanto, podemos observar que ambos os termos, TR e TC na equação de lucro são determinados pela escolha do "q" pela empresa. A única coisa que resta para descobrir é o tamanho exato de q, de modo a maximizar os lucros. Acontece que há uma fórmula simples que nos dá essa solução, mas antes precisamos estudar alguns termos importantes.
Em relação aos lucros de uma empresa, existe um ponto em que os contabilistas e os economistas concordam sobre o que conta como receita, mas discordam sobre o que conta como custos. Vejamos uma empresa que vende laranjas, ambos concordam que as receitas da empresa são simplesmente quanto dinheiro ela ganha na venda de laranja. Porém, eles divergem em relação aos custos. Os contabilistas consideram custo apenas o dinheiro real gasto na gestão do negócio como quanto a empresa paga aos funcionários e assim por diante. Se a empresa tem receita de 10.000 reais e gasta 9.000 reais para compor aquela receita, os contabilistas concluem que a empresa tem um lucro de 100 reais. Este número é o lucro contábil da empresa que é divulgado nos relatórios. Porém, os economistas preferem um conceito mais sutil, a que se referem como lucro econômico. O lucro econômico leva em consideração não apenas o dinheiro gasto diretamente na gestão do negócio, mas também os custos de oportunidade incorridos. O custo de oportunidade se refere àquilo que temos que abrir mão para fazer alguma outra coisa. Por exemplo, imaginemos um esse vendedor de laranja que ganha esses 1000 reais no mês deixou sua antiga profissão que ele lucrava 5000 por mês. Nesse caso, ele deixou de ganhar 5000 reais em salários para abrir um negócio que retorna apenas 1000 em lucro contábil. Ele está arcando com uma perda econômica de 4000 reais. Diante deste fato, a decisão dele de mudar de carreira não parece ter sido uma boa ideia.
Os economistas gostam de concentrar-se em lucros e perdas econômicas, em vez de lucros e perdas contábeis, porque os lucros e perdas econômicas são o que motiva as pessoas. Por isso, que as pessoas não fariam o que esse vendedor de laranjas fez, elas manteriam seus empregos nessa faixa de lucro do que se aventurar numa loja de venda de laranjas. Assim, no restante da seção falaremos mais sobre custos econômicos, isto é, eles não incluem apenas o dinheiro diretamente gasto na operação do negócio, mas também os custos de oportunidades anteriores para operar o negócio.
A mais importante aplicação deste conceito é determinar quanto uma empresa precisa produzir. Se produzir a décima segunda unidade de um produto gera lucro econômico, obviamente a empresa quererá produzi-la. Mas, se o aumento da produção para a décima terceira unidade causar um resultado de perda econômica, obviamente a empresa não desejará produzi-la.
Levando em consideração os lucros e perdas econômicas, podemos ir diretamente ao ponto de motivação das empresas para produzir, não apenas os tipos de bens que elas escolhem produzir, mas também as quantidades de todos aqueles bens.
Dando continuidade ao assunto, é preciso entender como os custos e as receitas interagem para determinar os lucros ou perdas econômicas. Para isso os economistas fragmentam os CUSTOS totais de uma empresa em duas categorias: custos fixos e custos variáveis. Os custos fixos se referem a tudo aquilo que deve ser pago mesmo que a empresa não produza nada. Por exemplo, uma vez que um contrato de aluguel é assinado, aquele aluguel deve ser pago, quer a empresa produza algo ou não. Do mesmo modo, se a empresa tomou um empréstimo, é legalmente requerido o pagamento do débito, não importando se ela produz zero unidades de mercadorias ou um bilhão de unidades. Já os custos variáveis são aqueles que variam com a quantidade de mercadorias produzidas. Por exemplo, uma empresa de suco de laranja se quiser produzir mais sucos deverá comprar mais laranjas, mais trabalhadores precisará, e assim por diante.
Assim, tem-se o total de custos é a soma dos custos fixos e variáveis, conforme representado pela fórmula abaixo:
CT = CF + CV
Os economistas gostam de diferenciar os dois tipos de custos porque eles têm efeitos muito diferentes sobre as decisões do quanto produzir.
Vamos a um exemplo para demonstrarmos melhor essa situação quando muda-se um custo variável, nesse caso, o número de trabalhadores.
Suponha que a empresa de suco de laranja compre uma máquina para espremer as laranjas que custa 100 reais por mês entre manutenções obrigatórias e outros gastos (custo fixo). Dado esse custo fixo, agora a empresa precisa decidir quantos trabalhadores contratar para produzir os sucos.
A tabela abaixo mostra como ficaram os dados para um máximo de quatro funcionários:
| Funcionários | Produção | Custo Fixo | Custo Variável | Total de Custos |
| 0 | 0 | 100 | 0 | 100 |
| 1 | 50 | 100 | 80 | 180 |
| 2 | 140 | 100 | 160 | 260 |
| 3 | 220 | 100 | 240 | 340 |
| 4 | 290 | 100 | 320 | 420 |
Conforme a tabela, se a empresa não contratar ninguém, podemos verificar que não há produção. Se agora ela contrata trabalhadores, a produção aumenta à medida que mais trabalhadores são contratados, mais trabalhadores significa mais produção.
No entanto, podemos notar que a quantidade adicional, ou marginal, de mercadoria produzida por cada trabalhador adicional não é constante. Ou seja, quando passamos de nenhum trabalhador para um trabalhador, a produção aumenta de nada para 50 garrafas de limonada. Porém, quando adicionamos mais um trabalhador, ficando agora com dois, a produção aumenta de 50 para 140 garrafas, ou seja, a produção marginal do segundo trabalhador é de 90 garrafas, ao passo que a produção marginal do primeiro é de apenas 50 garrafas.
Pode-se notar que se ambos os trabalhadores recebem 80 reais ao dia, o segundo trabalhador está produzindo o dobro pelo mesmo salário do primeiro, o que é excelente para a empresa, pois aumentando o número de trabalhadores está aumentando a produção. Não significa necessariamente que o primeiro trabalhador é improdutivo, é muito provável que os dois juntos estejam dividindo bem as tarefas e se ajudando ao ponto de estarem conseguindo maximizar a produção.
Os economistas referem-se a situações como esta como retorno crescente, porque a quantidade de retorno que você obtém para uma determinada quantidade de entrada (um trabalhador a mais), aumenta na medida em que você adiciona sucessivas unidades de entrada.
Obviamente que esse retorno não dura para sempre. Quando adicionamos um terceiro trabalhador a produção ainda aumenta, mas apenas 80 unidades, de 140 para 220 garrafas. E as coisas ficam piores a cada trabalhador que é adicionado, pois o acréscimo de um quarto trabalhador aumenta a produção em apenas 70 garrafas.
Os economistas chamam as situações como esta de retorno decrescente, porque cada unidade sucessiva de entrada, como a mão de obra, traz consigo um aumento na produção menor que a unidade de entrada anterior.
A explicação para isso poderia ser que quando tínhamos um trabalhador, ele tinha que levar as laranjas até a máquina e acioná-la. Quando entrou o segundo trabalhador, um deles passou a fazer o carregamento e o outro operava a máquina, porém, o terceiro não aumentou tanto a produção quando o segundo, pois as duas maiores tarefas, que são carregar e operar, já estavam sendo feitas. Na melhor das hipóteses o terceiro poderia ajudar o trabalhador que estava fazendo o carregamento das laranjas. O mesmo vale para os outros trabalhadores, não há mais espaço para avançar.
Agora vamos adicionar outro conceito que é a média de custos variáveis, que é uma nova coluna adicionada na tabela anterior conforme abaixo:
| Funcionários | Produção | Custo Fixo | Custo Variável | Média de Custo Variável | Total de Custos |
| 0 | 0 | 100 | 0 | - | 100 |
| 1 | 50 | 100 | 80 | 1.60 | 180 |
| 2 | 140 | 100 | 160 | 1.14 | 260 |
| 3 | 220 | 100 | 240 | 1.09 | 340 |
| 4 | 290 | 100 | 320 | 1.10 | 420 |
| 5 | 350 | 100 | 400 | 1.14 | 500 |
| 6 | 400 | 100 | 480 | 1.20 | 580 |
A média dos custos variáveis é definida dividindo os custos variáveis pela quantidade, ou seja, CV/q. Por exemplo, uma vez que um trabalhador produz 50 garrafas de produção a um custo variável de 80,00 reais, a média de custo variável é 80,00/50 = 1,60 por garrafa.
Quando dois trabalhadores juntos custam 160,00 reais em custos variáveis, mas produzem 140 garrafas, a média de custo variável para os dois trabalhadores é apenas 160,00/140,00 = 1.14 por garrafa.
Pode-se verificar que houve um retorno crescente com a diminuição na média de custos variáveis, assim os custos variáveis dobram de 80 para 160, mas a produção mais que sobra de 50 para 140 garrafas. Quando o inverso ocorre, em que os retornos são decrescentes, a média de custos variáveis começa a subir. Isso ocorre porque tem-se um aumento no custo de 80 reais para mais um trabalhador, porém a produção tem um aumento menor.
Também podemos calcular a média dos custos fixos, basta efetuar a divisão dos custos fixos pela quantidade (CF/q). Podemos verificar no exemplo acima que o custo fixo é sempre 100 reais, independente da quantidade produzida. Como resultado, quanto mais sucos ela produz, menor é a média de custos fixos, ou seja, o custo fixo vai se diluindo conforme mais produção vai sendo realizada.
Segue a tabela anterior comportando agora a média dos custos fixos:
| Funcionários | Produção | Custo Fixo | Média de Custo Fixo | Custo Variável | Média de Custo Variável | Total de Custos |
| 0 | 0 | 100 | - | 0 | - | 100 |
| 1 | 50 | 100 | 2.00 | 80 | 1.60 | 180 |
| 2 | 140 | 100 | 0.71 | 160 | 1.14 | 260 |
| 3 | 220 | 100 | 0.45 | 240 | 1.09 | 340 |
| 4 | 290 | 100 | 0.34 | 320 | 1.10 | 420 |
| 5 | 350 | 100 | 0.29 | 400 | 1.14 | 500 |
| 6 | 400 | 100 | 0.25 | 480 | 1.20 | 580 |
A tabela mostra o total dos custos, que se dá através da soma dos custos fixos com os custos variáveis.
Para termos uma média do total dos custos basta dividir pela quantidade. Ou então, se já tivermos calculado a média dos custos fixos e dos custos variáveis, basta somá-los. Assim, a média total de custos para o exemplo anterior quando tem-se um trabalhador será de 3.60, quando dois trabalhadores 1.86, quando três 1.55 e assim por diante.
Uma observação interessante é que à medida que passamos de níveis baixos de produção para níveis mais altos, a média total de custo tende a convergir com a média variável de custo. Isso porque a média de custo fixo se tornará cada vez menor. Veja que se zerarmos a média de custo fixo, teremos uma média de custo total igual ao custo médio variável.
A tabela abaixo coloca juntos as médias dos custo e a média total dos custos:
| Funcionários | Produção | Média de Custo Fixo | Média de Custo Variável | Total de Custos | Média Total de Custos |
| 0 | 0 | - | - | 100 | - |
| 1 | 50 | 2.00 | 1.60 | 180 | 3.60 |
| 2 | 140 | 0.71 | 1.14 | 260 | 1.86 |
| 3 | 220 | 0.45 | 1.09 | 340 | 1.55 |
| 4 | 290 | 0.34 | 1.10 | 420 | 1.45 |
| 5 | 350 | 0.29 | 1.14 | 500 | 1.43 |
| 6 | 400 | 0.25 | 1.20 | 580 | 1.45 |
| 7 | 440 | 0.23 | 1.27 | 660 | 1.50 |
Pode-se notar que a média de custos variáveis atinge seu valor mínimo, de 1,09, quando três trabalhadores são contratados e 220 garrafas produzidas. A média total dos custos, entretanto, atinge seu mínimo de 1,43, quando cinco trabalhadores são contratados e 350 garrafas são produzidas. Isso acontece porque a média de custos fixos está sempre caindo. Este declínio constante ajuda a equilibrar, temporariamente, os aumentos na média de custos variáveis que acontece quando o retorno decrescente começa. Consequentemente, embora a média de custos variáveis atinja o ponto mais baixo em três trabalhadores, a média de custo total não atinge o ponto mais baixo, e começa a aumentar até o quinto trabalhador.
Depois de falarmos sobre essa média de custos, vamos agora falar de outro assunto importante que são os custos marginais. Os custos marginais ajudam o gerente de uma empresa a saber qual a quantidade de mercadoria ele tem que produzir de forma a maximizar os lucros.
Portanto, o custo marginal é quanto o custo total aumenta, quando se produz uma unidade a mais de mercadoria. O custo marginal de uma unidade a mais de mercadoria depende de quanta mercadoria já se produziu.
Para exemplificar melhor, veja a tabela anterior com os custos marginais calculados:
| Funcionários | Produção | Total de Custos | Custo Marginal |
| 0 | 0 | 100 | - |
| 1 | 50 | 180 | 1.60 |
| 2 | 140 | 260 | 0.89 |
| 3 | 220 | 340 | 1.00 |
| 4 | 290 | 420 | 1.14 |
| 5 | 350 | 500 | 1.33 |
| 6 | 400 | 580 | 1.60 |
| 7 | 440 | 660 | 2.00 |
Pode-se observar que o custo total aumenta de 100,00 reais, na primeira linha, para 180,00 reais na segunda linha, enquanto que a produção aumenta de 0 para 50 garrafas quando a empresa contrata este primeiro trabalhador. Ou seja, os custos sobem 80,00 reais, enquanto a produção sobe 50 garrafas.
Então a leitura que podemos fazer é que cada um desses extras, mínimo de 50 garrafas em média, aumenta os custos para 80,00/50,00 que dá o resultado de 1,60 reais cada.
Assim, o custo marginal é dado pela fórmula:
Custo Marginal = (Mudança em Custo Total)/(Mudança na quantidade)
Observando a tabela acima verificamos que o primeiro custo marginal cai, para depois subir. Ou seja, o processo de produção tem um retorno crescente, mas depois é seguido de um retorno decrescente. Uma vez que o segundo trabalhador produz muito mais que o primeiro, mas os custos são iguais, o custo marginal cai quando o segundo trabalhador é adicionado. Para trabalhadores sucessivos, os custos continuam aumentando, mas a produção marginal ainda declina, o que significa que os custos marginais devem subir.
Agora vamos apresentar um conceito que os economistas adoram, e outros acham que é bruxaria. A curva de custos marginal cruza tanto com a a curva de média de custo variável, quanto com a curva de média de custo total, em seus pontos mínimos. Veja o gráfico abaixo:
Isso acontece pois o custo marginal em cada unidade determina se as curvas de custo médio variável e custo médio total estão aumentando ou diminuindo.
De forma prática, tem-se que se Custo Marginal é menor que o custo médio anterior, a média cai; Se o Custo Marginal é maior que o custo médio anterior, a média sobe; Por fim, se o Custo Marginal é exatamente o mesmo que o custo médio anterior, a média permanece a mesma.
Para comprovar isso, observe o gráfico. No segundo ponto onde temos o nível de produção de 140 garrafas pode-se notar que nesse nível de saída, o Custo Marginal para produzir mais uma garrafa é menor que a Média do Custo Total e Média do Custo Variável juntos, o que significa que a Média do Custo Total e a Média do Custo Variável irão diminuir se a produção for aumentada em mais uma garrafa.
É por isso que a curva da Média do Custo Total e a curva da Média do Custo Variável estão em inclinação descendente ao nível de produção.
Assim, observa-se que as curvas de médias estão sendo puxadas para baixo pelo baixo valor do Custo Marginal.
Em seguida, vamos observar o nível de produção de 440 garrafas. Pode-se notar que o Custo Marginal naquele nível de produção é maior que a Média do Custo Total e a Média do Custo Variável. Consequentemente, ambos devem ser aumentados. Isto é refletido geometricamente, pela inclinação ascendente de ambas as curvas, Média do Custo Total e Média do Custo Variável. As curvas são ascendentes porque o alto valor do Custo Marginal está puxando ambas para cima.
Mais uma observação importante no gráfico é que a Curva Marginal faz com que as curvas da Média do Custo Total e a Média do Custo Variável fiquem em formato de U, mesmo que sutilmente. Também notamos que quando Custo Marginal é menor que a média das curvas significa que a média se inclina de forma descendente (mais para o lado esquerdo do gráfico), mas quando Custo Marginal é maior que a média das curvas significa que a média se inclina de forma ascendente (mais para o lado direito do gráfico).
Agora voltamos a analisar a afirmação que fizemos quando acontece um toque do Custo Marginal no mínimo das duas médias. Antes disso, verificamos que à esquerda do ponto de cruzamento, a média deve estar caindo porque o Custo Marginal é menor que a média e, à direita, a média deve estar subindo, porque o Custo Marginal é maior que a média. Mas, onde as curvas se cruzam, a média da curva não está nem aumentando, nem caindo, porque o Custo Marginal daquela unidade de produção é igual à média atual. Por isso, a curva de Custo Marginal cruza as duas curvas de média em seus respectivos pontos mínimos — no fundo de suas respectivas formas de U.
Os economistas gostam de falar sobre esse assunto publicando ideias e artigos sobre esse tema, mas isto de fato é apenas um reflexo do efeito que o retorno ascendente e depois o descendente têm sobre as curvas de custos. Basicamente os custos primeiro caem e depois sobem e, além disso, há algum ponto no meio em que eles momentaneamente permanecem os mesmos, congelados por um instante, enquanto transitam da queda para ascensão. Este ponto deve ser onde o custo marginal se iguala ao custo médio, porque apenas quando o Custo Marginal é igual ao Custo Médio, este pode estar estacionário.
Após estudarmos o assunto de Custos Marginais e ver a sua relação com os custos médios já podemos finalmente estender como os gestores decidem quanta mercadoria produzir a fim de maximizar seus lucros.
No caso típico em que os preços de mercado são altos o suficiente para que uma empresa queira fazer uma quantidade segura de produção, uma fórmula ridiculamente simples é usada para determinar a quantidade ideal de produção q, na qual a empresa deve produzir. A empresa quer produzir no nível de produtividade em que a Receita Marginal seja igual ao Custo Marginal (RM = CM).
Produzir onde RM = CM tem dois efeitos:
1)Minimiza os prejuízos da empresa no caso de haver alguma perda devido ao baixo preço de venda de sua produção.
2)Maximiza os lucros da empresa, se for capaz de obter lucro, porque o preço de venda é suficientemente alto.
A ideia por trás de RM = CM é bastante simples e, basicamente, resume-se a uma análise de custo-benefício.
Por exemplo, se a empresa de suco de laranja vender cada garrafa por 2 reais, tem-se que a Receita Marginal de cada garrafa é de 2,00 reais, porque toda garrafa quando é vendida traz um extra de 2,00 reais.
Com isso, os gestores devem decidir quanto produzir, tendo como base se a garrafa custará mais ou menos a receita marginal de 2,00 reais, que a empresa obteria vendendo-a. Nesse ponto entra o Custo Marginal por garrafa, isto porque, se a empresa está decidindo fabricar aquela garrafa em especial, precisam isolar o custo de produção dela dos custos de produção de todas as outras já produzidas, de modo a compará-lo com a receita que a garrafa trará se produzida e vendida. O Custo Marginal faz exatamente isso, ao ignorar todas as garrafas produzidas e fixar a atenção no quanto a próxima garrafa irá custar para ser produzida.
Portanto, se o Custo Marginal daquela garrafa for menos que 2,00 reais, obviamente há um ganho em produzi-la. Por outro lado, se o Custo Marginal for maior que 2,00 reais, produzir a garrafa causaria uma perda, e assim ela não seria produzida.
Dessa forma, observando o Custo Marginal de cada garrafa possível, e comparando-o com a receita marginal que a empresa poderia obter vendendo-a, os gestores podem determinar exatamente quantas garrafas produzir.
O gráfico abaixo mostra os custos marginal e as médias de custos vistas anteriormente, porém com a inclusão de uma linha horizontal em 2,00 reais, que é a receita marginal para a venda de qualquer ou todas as garrafas que a empresa escolher produzir.
Também está rotulado a linha "p = Receita Marginal = 2,00", para indicar o fato de que o preço de venda da garrafa é de 2,00, que também é a receita marginal.
No gráfico observa-se o tracejado que indica que o nível ideal de produção da empresa, "quantidade = 400", acontece quando Custo Marginal e Receita Marginal se cruzam.
Assim, este é o nível de produção que a empresa escolherá produzir, de forma a maximizar os lucros.
Reproduzimos a tabela abaixo com mais uma oitava linha, que leva em conta a produção de 470 garrafas:
| Funcionários | Produção | Total de Custos | Custo Marginal |
| 0 | 0 | 100 | - |
| 1 | 50 | 180 | 1.60 |
| 2 | 140 | 260 | 0.89 |
| 3 | 220 | 340 | 1.00 |
| 4 | 290 | 420 | 1.14 |
| 5 | 350 | 500 | 1.33 |
| 6 | 400 | 580 | 1.60 |
| 7 | 440 | 660 | 2.00 |
| 8 | 440 | 740 | 2.67 |
Portanto, quando temos quantidade < 440, a receita marginal é maior que o custo marginal (Receita Marginal > Custo Marginal), o que significa que produzir e vender cada uma dessas garrafas traz mais dinheiro que o custo para produzi-las. Por exemplo, observando a garrafa de número 140, nota-se que ela tem um custo marginal de apenas 0,89, mas pode ser vendida por 2,00. Claramente, ela deve ser produzida porque o preço da venda será maior que os custos da produção. O mesmo é verdadeiro para todas as garrafas, para as quais a quantidade < 440, todas lhe trarão lucro.
Por outro lado, para todas as unidades que estão acima do nível de produção (quantidade > 440), o caso é diferente, pois a receita marginal é menor que o custo marginal (Receita Marginal < Custo Marginal). Nesse caso, o dinheiro seria perdido caso fabricasse e vendesse essas garrafas.
Por exemplo, conforme a tabela acima, em um nível de produção de 470 garrafas, o Custo Marginal é de 2,67 reais, enquanto que a Receita Marginal é de apenas 2,00 reais. Se fosse produzido todo aquele nível de unidades, perderia-se 67 centavos na garrafa número 470.
Portanto, comparando a Receita Marginal e o Custo Marginal em todos os níveis de produção, os gestores da empresa querem produzir exatamente uma quantidade = 440 unidades, o número de unidades onde a linha Receita Marginal e o Custo Marginal se cruzam.
Como dito anteriormente, produzir uma Receita Marginal = Custo Marginal não garante lucro, mas ao menos garante produzir apenas as garrafas que lhe trarão mais dinheiro do que gastam para serem produzidas. A razão pela qual esta fórmula sozinha não pode garantir o lucro é que ela não leva em conta os custos fixos que terão que ser pagos, independente do nível de produção. Mesmo que produza apenas garrafas para as quais a receita marginal seja, no mínimo, o mesmo montante dos custos marginais, ainda não é possível fazer um ganho suficiente para que aquelas garrafas paguem seus custos fixos.
Já que sabemos essa quantidade de nível ideal de produção e que essa quantidade ideal mesmo assim não é garantia de lucro, mas nos garante que estaríamos lucrando tanto quanto poderia (e se tiver dando prejuízo seria o menor prejuízo possível), existe uma maneira rápida e simples de usar visualmente as curvas de custos para determinar se a empresa está tendo lucro ou prejuízo. Para isso devemos novamente usar um gráfico para visualizar muito mais facilmente a situação.
Segue abaixo:
O segredo para avaliar se temos lucro ou prejuízo será analisar os dois componentes do lucro, a receita total (RT) e o custo total (CT), podem ser representados por retângulos, cujas áreas são equivalentes a seus respectivos tamanhos. Através disso poderemos visualizar imediatamente se os lucros são positivos ou negativos, verificando se o retângulo RT é maior ou menor que o retângulo CT. Assim, de forma geral, se Se o retângulo RT exceder o tamanho do retângulo CT, os lucros são positivos.
Já veremos melhor isso, antes verifique a figura acima novamente e identifique as curvas que já vimos anteriormente em outros gráficos: curvas de custo médio total, custo médio variável e custo marginal (MC), em somatória a uma linha horizontal rotulada p = Receita Marginal, para indicar que o preço é igual a receita marginal para esta empresa. Daqui algumas linhas provaremos que a maneira geométrica de determinar o tamanho do lucro de uma empresa é verdadeira para qualquer conjunto de curvas de custos.
O segredo por trás de expressar as receitas totais como uma área retangular é lembrar que a receita total da empresa, quando ela está produzindo ao nível de produtividade que maximiza os lucros, q*, é simplesmente preço (receita marginal) vezes quantidade, ou RT = p*q*. Mas ainda falta definir o ponto do retângulo, para realmente formá-lo. Veja que isso é semelhante a calcular a área total de uma sala por exemplo, no caso da área da sala faríamos a largura multiplicada pela altura. No nosso caso, a receita total é simplesmente a quantidade vezes o preço. Voltando ao retângulo, vamos definir o seus quatro pontos: o primeiro ponto está na horizontal localizado na origem em p (p=Receita Marginal), o segundo ponto é onde a linha p (p=Receita Marginal) cruza a curva Custo Marginal (ou seja, onde a linha horizontal de p vai cruzar a curva de Custo Marginal), o terceiro ponto é q* que é uma linha vertical, e por fim, o quarto ponto é onde p* cruza o Custo Marginal.
Agora vamos falar do outro retângulo, não o que está pintado, mas sim o retângulo delimitado pelos pontos A e B na horizontal, e q* na vertical. Veja que esse retângulo é menor que o anterior, que começa no ponto P, acima de A. Esse retângulo representa os custos totais que a empresa incorre quando produz q* unidade de mercadorias. Alguns chamam isso de bruxaria, mas não é, e os economistas adoram. Para calcular onde desenhar o retângulo, precisamos usar um pequeno truque de matemática, de modo a converter a informação que a curva de Custo Total Médio nos oferece em Custos Totais.
Isso é bem simples, na figura temos o ponto B, que indica o cruzamento de q* com a curva de Custo Total Médio, ou seja, aqui temos a Média de Custo Total por unidade, quando a empresa está em nível de produção de q*. Agora basta fazer o cálculo da área desse retângulo para termos o Total de Custos da empresa. Portanto, o Total de Custos é igual à área do retângulo, cujos quatro lados são: a origem, o ponto que chamamos de A, o ponto que chamamos de B, e q*.
Finalmente vamos falar do lucro. Sabemos que o lucro é simplesmente a Receita Total menos o Custo Total, portanto, pelo gráfico pode-se notar que considerando a área total das Receitas Totais, se tirarmos a área relativa aos Custos Totais o que sobra é o pequeno retângulo pintado de cinza. De fato, o lucro é igual à área do retângulo sombreado, simplesmente porque os lucros são simplesmente a diferença entre TR e TC. Como o retângulo das Receitas Totais (RT) é maior do que o retângulo dos Custo Totais (CT), neste caso, a empresa está fazendo um lucro cujo tamanho é equivalente à área sombreada do retângulo, que é definida pela área do maior retângulo (RT) menos a área do retângulo menor (CT).
Agora que entendemos o gráfico e todas as suas partes que influenciam nele, vamos fazer algumas análises. Imagine se o preço aumentasse, ou seja, P iria se mover para cima na horizontal. Dessa forma, ele cruzaria o Custo Marginal também mais acima, ou seja, o Custo Marginal aumentaria junto. Consequentemente, q* também poderia aumentar porque "p" e custo marginal se deslocam para cima. Agora pense o que aconteceria com os lucros, visto que a receita está aumentando e os custos também, afinal os dois retângulos expandiram juntos. Pois bem, se quisermos desenhar as linhas veremos que o retângulo sombreado do lucro crescerá em tamanho à medida que o preço aumenta. Pode parecer que o lucro não aumentaria, pois os custos também estão aumentando, mas veremos mais adiante que um preço subindo aumenta os lucros da empresa, e os lucros podem ser negativos se o preços caírem até uma certa faixa.
Imaginemos agora outra situação em que temos um preço menor para vender os produtos. Para simplificar, vamos supor que as curvas de custo são iguais as vistas no exemplo anterior, ou seja, só mudamos o preço. Segue abaixo o novo gráfico da empresa com um preço maior:
Como já sabemos deve-se selecionar a quantidade ideal de produção onde a Receita Marginal for igual ao Custo Marginal, assim temos o ponto C como ponto ideal de produção de unidades. Mas os baixos preços nos quais a empresa é forçada a vender sua produção significam que ela não será capaz de gerar lucro.
Vamos verificar os retângulos da Receita Total (RT) e o Custo Total (CT). A Receita Total, como já vimos, é p * q*2. Essa área está representada no gráfico nos pontos P e C na horizontal e q*2 na vertical. Já o retângulo do Total de Custos é o ponto onde a curva de Média do Custo Total cruza a quantidade, assim os pontos do retângulo são A, B e q*2. Porém, aqui verificamos que o retângulo do Total de Custo está maior que o da Receita Total, veja que esse ponto está acima do que estava no gráfico anterior. Como a área do retângulo de custo total excede a área do retângulo de receita total, a empresa está administrando uma perda equivalente ao tamanho da área sombreada.
Portanto, é importante entendermos que mesmo que um gerente sempre queira estar no nível de produção onde Receita Marginal = Custo Marginal, fazer isso não necessariamente garantirá o lucro, e isso ocorre porque os custos fixos podem entrar no caminho. Mas esse nível de produção garante que se tivermos que administrar uma perda, ela será a menor possível.
Vamos a um exemplo prático para ilustrar essa situação em que fazemos uma produção ideal, mas um custo fixo compromete a situação. Imagine que o preço do aluguel da empresa dobrou este mês. Dado que o mês iniciou e o aluguel já foi pago com o caixa da empresa, mesmo que se faça Receita Marginal = Custo Marginal, já estaríamos em prejuízo, no entanto, a empresa tentará produzir uma Receita Marginal > Custo Marginal, que, conforme já vimos, colocará a empresa numa situação de prejuízo ainda maior. Nesse caso, a melhor situação seria tentar negociar o aluguel mostrando ao dono do estabelecimento o impacto que o aumento desse aluguel coloca sobre a empresa, ou tentar mudar de local.
Dessa forma, produzir ao nível de produção onde Receita Marginal = Custo Marginal não garante o lucro. Mas garante que se você tiver que administrar uma perda, ela será a menor possível. Embora você não possa fazer nada de imediato sobre seus custos fixos, terá certeza de produzir apenas aquelas unidades para as quais a receita marginal da venda delas é maior que os custos marginais de produzi-las.
Existem situações em que a empresa não deveria sequer vender um produto, pois o prejuízo seria significativo ao ponto de não pagar os custos fixo e nem os variáveis.
O gráfico abaixo mostra essa situação:
Veja que a Receita Marginal e a curva de Custo Marginal interceptam a um ponto abaixo da curva de média de custo variável, ou seja, a receita total é menor até que o custo variável. As Receitas Totais é dada pelos pontos p, B, e q*3, assim, este seria o melhor nível de produção a este preço. Os custos variáveis são representados pelos retângulos, cujos quatro cantos são a origem e os pontos C, D e q*3.
Esta situação mostra que ao produzir q*3 unidades, a empresa nem sequer levanta receitas suficientes para cobrir os custos variáveis associados à produção de q*3 unidades. Não só a empresa vai perder os seus custos fixos, como também está perdendo ainda mais dinheiro por não ser capaz de cobrir os custos variáveis.
A solução seria uma produção zero, não produzir nada ou o prejuízo seria maior ainda. O ideal seria a empresa aumentar seus preços ou, se for o caso, esperar uma melhora do cenário econômico para voltar a produzir. Essa situação não é tão rara quanto pensamos, muitos produtores quando tem o preço da sua commodity desvalorizado, como o milho, por exemplo, que segue a tabela de preço do mercado internacional, preferem não produzir nada e esperar que o preço se valorize para que ele possa lucrar com a venda do produto, em vez de produzir e sair no zero a zero ou ter prejuízo.
Não é segredo que os economistas preferem acima de tudo a concorrência livre dos mercados, ou seja, mercado onde inúmeros compradores interagem livremente com diversas empresas concorrentes que vendem seus produtos.
Por isso, os economistas acreditam firmemente que, quando se trabalha apropriadamente, a concorrência de livre mercado é a melhor maneira para converter os recursos limitados da sociedade em bens e serviços que as pessoas desejam comprar.
Essa preferência dos economistas pelo livre mercado é devido a essa interação da oferta e da demanda, que naturalmente conduz a um resultado no qual cada unidade de produção que é feita satisfaz duas excelentes condições: produzir ao menor custo possível (sem desperdício e ineficiência), benefícios excederem os custos (produtos que todos queiram). Lembre-se que a sociedade possui uma quantidade limitada de terra, mão de obra e capital para produzir as coisas, por isso deve-se atentar quando calculamos como melhor converter os recursos limitados em serviços que as pessoas mais desejam.
Existem seis condições ou pré-requisitos para o funcionamento adequado do mercado, são eles:
1) Todos os compradores e vendedores têm acesso total e completo às informações sobre o bem ou serviço em questão.
2) Os direitos de propriedade estão estabelecidos de maneira que a única forma dos compradores obterem o bem ou serviço seja pagando por ele aos vendedores.
3) As curvas de oferta captam todos os custos de produção que as empresas incorrem ao produzir os bens e serviços.
4) As curvas de demanda captam todos os benefícios que as pessoas recebem do bem ou serviço em questão.
5) Existem numerosos compradores e vendedores, de tal modo que ninguém é grande o suficiente para afetar os preços de mercado.
Frequentemente, isto é chamado de hipótese de tomada de preços, porque todos têm apenas que acompanhar os preços dados.
6) O preço de mercado é completamente livre para se ajustar e equilibrar a oferta e demanda para o bem ou serviço em questão.
Esses seis pontos irão realizar os dois objetivos principais que é GARANTIR que as pessoas irão querer comprar e vender em um ambiente de mercado, e por fim, ASSEGURAR que os mercados levarão em conta todos os custos e benefícios da produção e o consumo de um determinado volume de produção.
O primeiro objetivo, garantir que as pessoas participarão dos mercados, exige que ambas as partes, compradores e vendedores, tenham acesso a informação completa garante que ambos estarão dispostos a negociar, sem ter que se preocupar que um deles tenha alguma informação secreta que possa ser usada contra o outro (pré-requisito 1 da lista). Uma segunda exigência para satisfazer esse objetivo é que os direitos de propriedade sejam estabelecidos de tal maneira que os compradores tenham que pagar aos vendedores, isso assegura que sempre haverá vendedores dispostos a fornecer o produto (pré-requisito 2 da lista). Por exemplo, se artistas vão fazer uma exibição numa praça, muitos podem não querer comprar o ingresso porque podem assistir de graça a uma distância maior, no entanto, isso certamente deixará de atrair os artistas a fazerem futuros shows em praças devido a falta de compradores.
O segundo objetivo, que se refere a captura de todos custos e benefícios da produção, exige que a curva de oferta capte todos os custos (pré-requisito 3 da lista) e a curva de demanda capte todos os benefícios (pré-requisito 4 da lista), assegurando assim que um bom cálculo custo-benefício possa ser feito. Um exemplo clássico é a energia gerada pelo carvão, as empresas foram duramente taxadas pelos governos pela poluição que estavam gerando a sociedade, por sua vez, a empresa teve que aumentar os custos de geração de energia, e os compradores passaram a consumir muito menos esse tipo de energia. Dessa forma, a sociedade pesou adequadamente os custos e benefícios da produção dessas empresas.
Pode-se notar que para satisfazer os dois grandes objetivos para o funcionamento do livre mercado, procuramos atender os quatro primeiros pré-requisitos. De forma geral, se as quatro primeiras exigências para o livre mercado forem cumpridas, as forças de mercado ainda podem alcançar uma ótima situação social se estiverem livres de interferência. Mas, a quinta exigência elimina problemas como o monopólio, no qual os compradores ou vendedores individuais são tão poderosos que podem manipular os preços de mercado a seu próprio favor. A sexta exigência estipula que a oferta e a procura devam estar em condições de determinar livremente o preço e a quantidade de mercado, sem entraves criados pela regulamentação governamental de preço mínimo ou máximo, mais adiante falaremos mais sobre este ponto.
Portanto, cumprindo todas as seis exigências uma coisa extraordinária acontece: a oferta e a procura conseguem uma ótima situação social, sem que o governo ou ativistas sociais conscientes tenham que fazer qualquer coisa. Esta perspectiva foi a base para a metáfora da mão invisível de Adam Smith, em que uma certa mão invisível parece guiar os mercados para fazerem a coisa certa, apesar de não haver nenhum responsável e, dessa forma, cada indivíduo no mercado pode muito bem estar cuidando apenas de seus próprios interesses.
Os economistas utilizam as curvas de oferta e demanda para demonstrar que os livres mercados produzem níveis socialmente excelentes de produção. Mas sabemos que uma unidade de produção só pode ser socialmente benéfica para produzir e consumir se os benefícios que derivam desse consumo excederem os custos de sua produção.
Utilizando apenas as curvas de oferta e demanda é muito útil na análise dessa situação, pois a curva de demanda quantifica os benefícios que as pessoas têm de consumo, mostrando o que elas estariam dispostas a pagar para consumir todas unidades de produção e, de modo semelhante, as curvas de oferta quantificam o custos de produção de todos e cada unidade de produção em particular.
Dessa forma, ao desenhar curvas de demanda e oferta de um bem ou serviço em um mesmo gráfico, podemos facilmente comparar os custos e benefícios da fabricação de cada uma das unidades de produção.
Veja o gráfico abaixo:
Analisando o gráfico notamos que quando temos uma produção de quantidade 1, se subirmos verticalmente até a curva de demanda chegaremos ao preço de 8 reais para cada unidade de produção, ou seja, as pessoas estão dispostas a pagar 8 reais por unidade. Mas se analisarmos a curva de oferta, chegaremos ao custo de 2 reais.
Portanto, pode-se constatar que é socialmente benéfico produzir esta primeira unidade de mercadoria porque ela vale mais para os compradores (8,00 reais) do que sua produção custa aos vendedores (2,00 reais). De forma resumida, mesmo que os custos utilizados para produzir essa unidade custe apenas 2 reais para a sociedade, esse produto traz um benefício de 8 reais para os vendedores. Assim, uma vez que os benefícios excedem os custos, esta unidade de produção deve ser produzida.
O mesmo ocorre com a segunda unidade, em que as pessoas estão dispostas a pagar 7 reais e o seu custo é de 3 reais, ou seja, novamente os benefícios excedem os custos, portanto, esta unidade deve ser produzida. Porém, se verificarmos a quinta unidade de produção o custo dessa produção é de 6 reais e as pessoas estão dispostas a pagar 4 reais. Uma vez que o custo para a produção desta unidade excede o que qualquer pessoa está disposta a pagar, esta unidade não deve ser produzida.
Outra situação muito importante analisando o gráfico acima é saber a quantidade que deveria ser produzida, pois as curvas de oferta e demanda permitem que você compare rapidamente os custos e benefícios para cada nível de produtividade possível. Conforme o gráfico anterior, para cada parcela da produção em que a quantidade < 4, os benefícios excedem os custos, quando temos exatamente uma quantidade de 4 unidades, os benefícios se igual aos custos, e por fim, para os níveis de produtividade em que a quantidade é maior que 4 os custos excedem os benefícios.
Portanto, os economistas observam este fenômeno e concluem que o nível socialmente ideal de produção é q = 4 unidades, porque para estas unidades, os benefícios excedem os custos ou, pelo menos, são iguais a estes. Produzindo as primeiras quatro unidades, a sociedade ganha ou ao menos não ficará pior.
O nível de produtividade socialmente ideal é sempre fácil de identificar em qualquer gráfico de oferta e demanda. Ele é, apenas, a quantidade produzida onde as curvas de oferta e demanda se cruzam, conforme pode ser visto no gráfico anterior.
Depois de estudarmos essa relação da curva de oferta e demanda com os benefícios para a sociedade já podemos falar da grande descoberta de Adam Smith. Ele percebeu que os livres mercados produzem exatamente o nível de produção socialmente ideal por si mesmos, sem que ninguém os conduza a fazer a coisa certa. A prova disso é o gráfico anterior, em que a quantidade de equilíbrio do mercado é determinada no ponto de cruzamento entre a oferta e a demanda. Isso acontece quando o preço de mercado está livre para se ajustar, portanto a quantidade oferecida pelos vendedores é igual à quantidade demandada pelos compradores.
Quando o custo da produção fica maior que o lucro para a empresa, ela simplesmente não faz mais. Portanto, não é necessário nenhum planejador central ou funcionário do governo para determinar o nível correto de produção. Empresas que são livres para ajustarem seu nível de saída às condições do mercado irão tomar suas decisões em resposta a condições como essa.
Este resultado fantástico simplifica muito a vida de todos, pois elimina a necessidade de ter um órgão governamental ou qualquer outro tipo de planejador central verificando constantemente se a quantidade certa de mercadorias está sendo produzida.
Agora que vimos como os mercados se ajustam para produzir o melhor possível para todos, falaremos de outro ponto, que é o excesso, seja o excesso de produção ou de consumo. Primeiramente precisamos definir o conceito de superávit total, que nada mais é do que o total máximo dos ganhos que vem do nível de produtividade socialmente melhor. Ou seja, o ganho, ou superávit, vem do fato de que os benefícios excedem os custos para as unidades de mercadoria que são produzidas. Esse ganho, ou superávit, no fim das contas, é dividido entre os consumidores e os produtores. A parte do total do superávit que vai para os consumidores é chamada de excedente de consumo, enquanto que a parte que vai para os produtores é chamada de excedente de produção. Falaremos de cada um desses excessos e depois juntaremos os dois para falar do superávit total.
O excedente de consumo é o ganho que as pessoas recebem quando podem comprar por um preço menor que elas pretendem pagar. Por exemplo, se a pessoa está disposta a pagar 70 mil reais por um carro, dadas as condições financeiras que ela se encontra, e o carro sair por 60 mil reais, ela tem um ganho, pois conseguiu 10 mil a menos que ela estava disposta a pagar, ou no linguagem economista, o excedente de consumo deste carro é de 10 mil reais para a pessoa. Se tivéssemos 5 pessoas dispostas a comprar este carro, e cada uma delas tivessem, respectivamente, a seguinte disposição de pagar: a primeira disposta a pagar 80 mil, a segunda 75 mil, a terceiro 70 mil, a quarta 65 mil e a quinta 60 mil. Teríamos nesse caso um total de superávits de 50 mil, que é a soma dos excedentes de cada pessoa.
Veja que um carro é um bem que não pode ser fracionado, não podemos comprar 2,3 carros, por exemplo. Outra situação que ocorre é computar o excedente de consumo para bens de consumo contínuo e serviços — coisas como terra ou óleo de cozinha ou horas de alguma aula, que não são necessariamente vendidas em unidades delimitadas. Ou seja, podemos comprar quantidades fracionadas de bens medidos continuamente, tais como, um apartamento de 82.2 metros quadrados, 23.9616 litros de óleo de cozinha ou 2 horas e 30 minutos de aulas de música.
Veja o gráfico abaixo que ajudará no entendimento do excedente considerando um carro:
Pode-se notar que algumas pessoas estão dispostas a pagar 80 mil pelo carro, outras 75 mil e assim por diante. A linha pontilhada indica o preço de mercado do carro, que é de 60 mil reais.
Para calcular o excedente de consumo de um bem delimitado como os carros, precisamos do total de superávits que as pessoas obtêm em cada unidade que escolhem comprar e, como já vimos, o total é de 50 mil. O gráfico abaixo mostra na área sombreada esse total excedente de 50 mil reais.
Também temos o excedente de produção, que mede o ganho que as empresas recebem quando podem vender sua produção por mais que o preço mínimo que estariam dispostas a aceitar. É a mesma ideia anterior, mas dessa vez é a relação do ganho dos vendedores em relação aos compradores.
Outro conceito é o total excedente, que se refere a aquilo que a sociedade recebe pelo excelente nível de produção de determinado bem ou serviço. Portanto, o total excedente é, simplesmente, a soma do excedente de consumo e produção gerado pelo nível de produção.
O total excedente é muito importante porque ele coloca um número nos ganhos que vêm da produção e do comércio. As empresas fazem coisas para obter lucro, e as pessoas gastam dinheiro nas coisas porque consumir aquelas coisas as deixam satisfeitas. Assim, o total excedente diz exatamente o quanto os consumidores e produtores estão em melhor situação financeira após interagirem uns com os outros.
Ao colocar um número nos ganhos obtidos por esta interação, o total excedente também oferece uma marca de referência pela qual os economistas podem medir o dano que vem das políticas governamentais que interferem no mercado. Por exemplo, dizer que o subsídio de preços fere o consumidor é uma coisa, mas ser capaz de dizer exatamente em quanto dinheiro os consumidores são lesados é outra.
Essa é a magia dos livres mercados, os livres mercados produzem apenas aquelas unidades para as quais os benefícios excedem os custos. Em outras palavras, o equilíbrio de mercado assegura que o total excedente seja o maior possível.
Qualquer coisa que interfira na capacidade do mercado de alcançar o equilíbrio e produzir a quantidade de mercado, reduz o total excedente. Os economistas usam o termo "perdas inesperadas" para se referirem à quantia em que o excedente total é reduzido.
Alguns dos exemplos de perdas inesperadas são os preços máximos (em algumas situações o governo exige um preço máximo por determinados produtos) e as taxas. Veja que o preço máximo já foi discutido em nosso estudo, um dos danos que isso pode causar é que a certo preço os fornecedores não se interessarão em fábricas maiores quantidades daquele produto, pois após uma determinada quantidade pode não ser mais vantajoso a produção. Em contraste, se não existisse preço máximo e o mercado fosse deixado aos seus próprios dispositivos, os fornecedores escolheriam produzir a quantidade de produtos para o equilíbrio do mercado. Já com relação às taxas, sabe-se que impostos sobre bens e serviços sempre causam perdas inesperadas. Isto acontece porque tais impostos aumentam os custos da produção e do consumo da mercadoria. Quando estes custos são aumentados artificialmente pelo imposto, as pessoas respondem produzindo e consumindo menos unidades de mercadoria que antes do imposto ser ordenado.
Estes tipos de interferência no mercado estão ambos sob o controle governamental, mas as perdas inesperadas não são causadas apenas pela política do governo.
Qualquer coisa que reduza a produção abaixo da quantidade de mercado causa uma perda inesperada. Monopólios e oligopólios podem ser os culpados, como também podem ser as informações assimétricas e problemas com bens públicos.
Por fim, vamos finalizar o assunto da concorrência. Para isso devemos definir em quatro passos o que é a concorrência perfeita:
1. O preço de mercado dos produtos vendidos por todas as empresas do ramo é determinado pela interação geral das curvas de oferta e demanda.
2. Cada uma das empresas tem o preço de mercado dado e produz sempre a mesma quantidade de produtos que irão maximizar seus próprios lucros (ou minimizar suas próprias perdas se o preço estiver tão baixo que não seja possível obter lucro).
3. Como cada empresa tem tecnologia de produção idêntica, cada uma escolherá produzir a mesma quantidade e, consequentemente, obterão o mesmo lucro ou perda como todas as outras empresas da mesma atividade.
4. Dependendo se as empresas do setor estão obtendo lucros ou prejuízos, as empresas irão ou entrar ou sair do setor até que o preço de mercado se ajuste ao nível onde todas as empresas remanescentes estão obtendo lucro econômico zero.
Essa questão do lucro econômico zero não significa que as empresas não ganham dinheiro sob os custos do negócio, se isso fosse verdade, ninguém entraria no negócio. As empresas devem ganhar dinheiro suficiente para manter os empreendedores motivados a permanecer no negócio (e atrair outros empreendedores a abrirem novas empresas). Explicamos que os lucros ganhos por uma empresa são quaisquer verbas recolhidas acima e além do que é requerido para manter um proprietário empreendedor interessado em continuar no negócio.
Isto também significa que ninguém na indústria está enriquecendo de maneira obscena a custa de outra pessoa. Na verdade, os empreendedores estão apenas fazendo o suficiente para manter o suprimento de mercadorias que a sociedade deseja que mantenham. Esta situação é boa para a sociedade, pois seria desperdício pagar aos empreendedores mais do que o necessário para conseguir que façam o que ela deseja.
Dessa forma, quando as empresas do setor estão tendo lucro, significa que novas empresas são atraídas para o setor, e quando estas entram, toda a produtividade do setor aumenta muito e o preço de mercado começa a cair. Como o preço cai, os lucros caem, desse modo baixando o incentivo para futuras empresas entrarem no setor.
O processo de novas empresas entrando no setor continua até o preço de mercado cair tão baixo que os lucros chegam a zero. Quando isto acontece, o incentivo para entrar no setor desaparece e nenhuma outra empresa entra.
Porém, se as empresas de um setor começarem a apresentar prejuízos porque o preço de mercado está baixo, tem-se que algumas das empresas existentes deixam o setor, porque elas não podem continuar perdendo dinheiro e assim a produtividade do setor cai. Esta redução no fornecimento total, por sua vez, faz o preço de mercado subir, e quando os preços de mercado sobem, as perdas das empresas diminuem.
O processo das empresas saindo e os preços aumentando continua até que as empresas remanescentes não mais estejam perdendo dinheiro e, além disso, outras podem começar a entrar no setor.
Portanto, o fato de as empresas poderem entrar e sair livremente do setor significa que após todos os ajustes serem feitos as empresas sempre obtém um lucro econômico zero. Ou seja, se há concorrência perfeita, você não precisa se preocupar sobre empresas explorando quem quer que seja, elas só obtêm dinheiro suficiente para permanecer no negócio. Outro resultado importante da concorrência perfeita é que as empresas concorrentes produzem a custo mínimo, conforme já vimos anteriormente. Esse último resultado é bem fácil de ser visualizado através de um exemplo e utilizando alguns gráficos.
Vamos exemplificar como um setor se ajusta quando começa a obter lucros, veja o gráfico abaixo:
Veja que à esquerda temos a curva de demanda do mercado representado por D, e também a curva inicial de oferta de mercado S0 para um certo produto.
O gráfico da direita, por outro lado, representa a curva de custos para uma das muitas empresas idênticas do setor, que também fazem este produto.
Portanto, temos no gráfico da esquerda as curvas de Demanda e Oferta do setor que é quem determina o preço de mercado que uma empresa concorrente, representado no gráfico da direita, deve tomar como preço dado.
Como as empresas deste setor são idênticas, elas têm a mesma estrutura de custo, que no gráfico da direito é representado pelo Custo Marginal. Lembre-se dos estudos anteriores que a curva de custo marginal de uma empresa concorrente é sua curva de OFERTA.
Po no gráfico representa quanto a empresa cobra, é o preço de mercado, isso é representado no gráfico da esquerda onde cruzam as curvas de oferta e demanda. Este ponto também é utilizado para calcular o lucro da empresa, maximizando o nível de produtividade no gráfico à direita.
Nota-se que cada empresa escolhe fabricar o nível de produtividade no qual o preço na linha horizontal se cruza com a curva de Custo Marginal. No gráfico à direita, chamamos o nível de produtividade de q0, já no gráfico à esquerda, podemos ver que o total de oferta para o setor é Q0.
O total de oferta do setor é simplesmente a produção de cada empresa individual, q0, vezes o número total de empresas no setor.
Devemos atentar que cada empresa administra um lucro quando o preço de mercado é Po. O lucro é mostrado pelo retângulo sombreado no gráfico da direita.
Este lucro é importante, uma vez que atrai empreendedores para o setor. Eles percebem que podem criar empresas idênticas e ainda assim obter bons lucros. Como os economistas gostam de dizer, lucros atraem estreantes.
Agora vamos colocar os estreantes nesse setor de mercado e ver o que acontece com os lucros.
Para isso temos agora o gráfico abaixo para ajudar no entendimento:
Todos os pontos que tem o zero junto são referentes aos dados anteriores, assim, P1, Q1, q1 se referem ao novo cenário.
Nota-se que a nova produção aumenta a produção geral, assim a curva do total de oferta se desloca de S0 para S1. Isso produz uma baixa no preço de equilíbrio de mercado de P0 para P1. Assim, os estreantes no mercado aumentam a oferta do setor, os preços caem e os lucros são reduzidos.
Cada uma das empresas seguidoras do preço de mercado reage ao preço baixo fabricando a um nível de produção mais baixo, q1, conforme o gráfico da direita.
Mais importante, os lucros das empresas diminuem, basta comparar os dois retângulos sombreados das duas figuras acima.
A nova entrada resulta em lucros menores. Os lucros menores são menos atrativos aos empreendedores. Embora ainda existam novas entradas, causadas pelo fato de que alguns lucros ainda estão disponíveis, não haverá muitas novas entradas como anteriormente em que os lucros eram maiores.
As empresas ainda estão obtendo lucros. Mas e se tivéssemos uma terceira empresa no setor? O gráfico abaixo mostra essa situação:
O que acaba acontecendo, de fato, é que as entradas de empresas continuam até que os preços caiam tanto, que todos os lucros se dispersam. Isso porque as novas entradas aumentam a oferta ainda mais, para S2. O resultado é que o preço de mercado cai para P2, o que resulta em lucro zero. Note que não há retângulo sombreado no lucro do gráfico à direita. Uma vez que os lucros caem para zero, as entradas cessam.
Conforme o gráfico da direita mostra, quando os lucros caem para zero, em razão da entrada de uma nova empresa, o custo por unidade do produto fabricado é minimizado. Notamos que, quando confrontadas com o preço P2, as empresas escolhem produzir a quantidade que minimiza o custo de produção por unidade.
A produção que a empresa escolhe produzir, q2, se assenta exatamente no ponto mínimo da forma em U da média da curva de custo total.
Quando a produção está neste nível, a média de custo por unidade é menor que em qualquer outro nível de produção (em outras palavras, qualquer outro nível de produção resulta em uma média de custo total mais alta). Esta situação é maravilhosa, porque significa que cada empresa está sendo o mais eficiente possível, produzindo ao menor custo por unidade. Além disso, cada empresa está escolhendo voluntariamente produzir aquele nível, sem qualquer necessidade de coerção.
Assim, os altos lucros atraem os novos interessados que automaticamente aumentam a oferta e derrubam os preços. Este processo continua até que não exista mais lucro e nenhum novo interessado. Mas, mais importante, o ciclo continua até que todas as empresas estejam produzindo ao nível mais eficiente e com o nível mínimo de custos. Esta é a verdadeira mão invisível de Adam Smith em ação.
Mas existe também uma última alternativa, que é quando o mercado conduz os lucros a zero e a produção eficiente caso o setor comece a obter prejuízos.
Segue o gráfico abaixo para ajudar no entendimento:
Veja que a curva de oferta inicial, S3, cruza a curva de demanda, D, para produzir um preço de mercado muito baixo, que é P3.
Baixos preços de mercado conduzem a perdas e a saída das empresas.
A este preço de mercado, podemos ver no gráfico da direita que cada empresa do setor está obtendo prejuízo, o que é mostrado pelo retângulo sombreado.
Esta perda desencoraja as empresas no setor e, aquelas que estão em uma condição financeira mais fraca, começam a sair. Quando isto acontece, a curva de oferta do setor, representado pelo gráfico à esquerda, se desloca para a esquerda (porque a oferta diminui). Esta mudança aumenta o preço de mercado e reduz as perdas das empresas que permanecem no setor. Mas enquanto houver prejuízos, as empresas continuarão a deixar o setor até que a curva de oferta se mova de volta para S2, no ponto em que o preço de mercado é P2, e as empresas estejam obtendo zero lucros, como no gráfico anterior a este.
Quando o preço de mercado atinge P2 e as empresas estão tendo lucros zero, as saídas das empresas param e, mais importante, cada empresa está produzindo ao nível de produtividade de menor custo, q2.
Para finalizar o estudo, vimos que as pressões do mercado sempre empurram as empresas de concorrência perfeita para produzirem ao menor custo possível por unidade. Mas é importante enfatizar que este resultado agradável não acontece da noite para o dia. Quando as empresas estão obtendo lucros ou suportando prejuízos, leva tempo para que novas empresas entrem (se há lucros) ou para que antigas empresas saiam (se há prejuízos). Dependendo do setor este período pode mudar, alguns podem levar poucas semanas e outros anos. Exemplo disso é a montagem de uma fábrica nova que pode durar anos, ou um agricultor que resolveu sair de um tipo de plantação porque os preços de mercado estão baixos, para o agricultor voltar pode demorar até a próxima safra que tem períodos diferentes.
Vimos o quanto é maravilhosa essa concorrência perfeita e as forças do mercado que dirige as empresas para o menor custo possível. Mas existem situações que corroem os mercados, são os monopólios, oligopólios, bens públicos e outros problemas que evitam ou impedem a concorrência perfeita. Veremos mais sobre isso nos próximos estudos.
Monopólio é quando uma empresa não tem concorrentes em seu setor. Monopólios são mal vistos porque normalmente possuem muito lucro por meio de altos preços e com baixa produção. Por isso, os governos agem com o intuito de fragmentar os monopólios e substituí-los por setores competitivos, que geram preços baixos e alta produtividade. Mas existem governos que, ao contrário, criam monopólios. Por exemplo, os governos emitem patentes que dão direitos de monopólio para os inventores venderem e comercializarem suas invenções. Mas também, muitos serviços locais, como TV a cabo e coleta de lixo, são também monopólios criados e executados pelo governo local. Assim, existem situações que os monopólios não são ruins, como o primeiro exemplo que beneficia-se aquele que gastos em pesquisa e desenvolvimento para criar algo novo e agora possui o monopólio por um determinado tempo.
Primeiramente falaremos dos problemas que os monopólios causam. Quando um setor tem apenas um empresa, configurando um monopólio, em vez de diversas empresas concorrente, algumas coisas prejudiciais acontecem: a empresa produz menos produtos que as empresas em um setor competitivo produziriam, a empresa vende sua produção a um preço mais alto em relação a um setor competitivo, e a produtividade é menos eficientes e mais custoso do que de uma empresa do setor competitivo.
Tudo isso é prejudicial ao consumidor, mas estas consequências são simplesmente o resultado da ação dos monopólios para maximizar seus lucros, que é certamente a mesma coisa que as empresas competitivas tentam fazer. Diferente do que muitos pensam, essa diferença entre resultados do monopólio para o setor competitivo não se refere à intenções, mas sim por que os monopólios não têm pressões, como têm o setor competitivo, pressões estas que conduzem os setores competitivos a atingir o nível de produção socialmente ótimo. Portanto, sem esta pressão, as empresas de monopólios podem aumentar e restringir a produtividade para aumentar seus lucros – coisas que as empresas competitivas também adorariam fazer, mas não podem.
Para ir mais adiante nessa explicação precisamos lembrar do conceito de Receita Marginal, que trata-se do aumento no total das receitas que vêm da venda sucessiva de cada unidade de um produto. Todos os maus resultados gerados por um monopólio derivam da mesma fonte: ao contrário de uma empresa competitiva que enfrenta uma curva de receita marginal horizontal, o monopólio enfrenta uma curva de receita marginal inclinada descendente. Este simples fato faz os monopólios cobrarem mais, produzirem menos e produzirem a custos mais altos do que as empresas competitivas. Essa curva descendente implica que cada unidade adicional que o monopólio vende traz menos receitas que a primeira unidade. Por exemplo, enquanto a décima unidade vendida pode trazer 8,00 reais, a décima primeira traz apenas 3,00 reais.
Obviamente, tal situação reduz o incentivo para produzir muito. Já com as empresas competitivas ocorre o inverso, conforme já explicamos em seções anterior, empresas competitivas encaram as curvas de receita marginal horizontal, significando que, se elas vendem 11 unidades ou 11.000 unidades, cada unidade traz a mesma quantia em dinheiro, o que significa que isto é muito mais que um incentivo para produzir mais. Essa diferença é muito simples de explicar, porque enquanto um monopólio é livre para escolher o preço que deseja cobrar ao longo da curva de demanda que enfrenta para seu produto. Uma empresa competitiva, por outro lado, tem que pegar o preço de mercado como lhe é dado.
O monopólio precisa considerar qual nível de produção adotar, e como seu objetivo é maximizar o lucro, a empresa tem que calcular que nível de produção irá maximizar seus lucros. O nível de produção de maximização de lucro do monopólio é definido pela mesma condição que o de uma empresa competitiva, que é produzir no nível de produção onde a curva de receita marginal cruza a curva de custo marginal.
Assim, o primeiro passo para descobrir quanto um monopólio produzirá é descobrir qual a aparência de sua curva de receita marginal. Ao fazer isto, podemos ver onde aquela curva cruza a curva de custo marginal do monopólio para calcular quanto ele irá produzir.
Conforme vimos, uma curva de RECEITA marginal do monopólio tem uma relação precisa com a curva de DEMANDA para a produção do monopólio. A receita marginal de cada unidade de produção sucessiva é menor que a receita marginal da unidade anterior, porque como vimos a curva de demanda é inclinada decrescente.
Se a curva de demanda for uma linha reta, a inclinação da curva de receita marginal é duas vezes mais íngreme que a inclinação da curva de demanda, o que significa que a receita marginal cai muito rapidamente conforme a produtividade aumenta.
O gráfico abaixo vai ajudar neste entendimento:
No gráfico acima verificamos a curva de demanda associada à curva de receita marginal. A curva de Receita Marginal para o monopólio enfrentando uma curva de demanda em linha reta tem uma inclinação duas vezes mais íngreme do que a curva de demanda. Os pontos (A, B, C, D, etc) indicam o preço para a respectiva quantidade. A curva de receita marginal indica a receita total que o monopólio obteria produzindo e vendendo cada nível de produção.
Verifique o ponto A, nesse caso temos a quantidade de 1 unidade produzida, gerando um preço de venda de 9 reais e uma receita marginal de 8. No ponto B, tem-se uma quantidade de 2 unidades a 8 reais e a receita marginal de 6 reais. No ponto C a situação é de 3 unidades produzidas ao preço de venda de 7 reais e uma receita marginal de 4 reais. Veja que no ponto G teremos 7 unidades ao preço de 3 reais, mas uma receita marginal de -5, pois a curva de demanda vai cruzar a curva de receita marginal abaixo do seu ponto zero.
Observamos que a curva de receita marginal começa no mesmo ponto que a curva de demanda, mas ela cai com duas vezes mais inclinação. Ela atinge o eixo horizontal a um nível de produção de q = 5 em vez de q = 10, nível de produção no qual a demanda atinge o eixo horizontal (onde q representa a quantidade produzida).
Para compreendermos ainda melhor a razão pela qual a curva de Receita Marginal cai tão rapidamente, vamos examinar primeiro a Receita Total. A receita total que o monopólio pode obter é simplesmente sua produção vezes o preço ao qual ele pode vendê-la. Isto é, Receita Total = p x q.
Entretanto, o preço no qual um monopólio pode vender depende de quanto ele produz.
A relação entre a mercadoria produzida e o preço pelo qual ela pode ser vendida depende da curva de demanda.
Por exemplo, considere o ponto A no gráfico anterior, na curva de demanda, no ponto A, uma unidade começa a ser produzida e pode ser vendida a 9,00 reais.
Consequentemente, a receita total naquele ponto é 9,00 reais . Em seguida, olhe para o ponto B, no qual duas unidades de produção estão sendo vendidas.
Naquele nível de produção, cada unidade pode ser vendida por 8,00 reais. Consequentemente, a receita total é 8,00 x 2 = 16,00. E, no ponto C, onde três unidades podem ser vendidas por 7,00 reais cada, a receita total é 21,00.
O importante é notar como a receita total muda à medida que se move de A para B para C e aumenta a produção de uma para duas e depois para três unidades.
A receita total vai de 9,00 para 16,00 para 21,00. Obviamente, a receita total aumenta. Mas, se olharmos mais de perto, movendo-se de A para B, a Receita Total aumenta para 7,00 reais (de 9,00 para 16,00). Mas, movendo-se de B para C, ela aumenta para apenas 5,00 reais (de 16,00 para 21,00). Ou seja, cada aumento sucessivo na receita total é menor que o aumento anterior.
E o mesmo acontece com a Receita Marginal que declina quando o monopólio aumenta sua produção. Na verdade, ela se torna negativa para todas as unidades depois da quinta. No ponto G, os monopolistas podem vender sete unidades de mercadoria por 3,00 reais cada. Isto perfaz uma receita total de 21,00 reais. Mas, se ele aumenta a produção para oito unidades no ponto H, pode vender estas unidades somente a 2,00 reais cada, implicando numa receita total de 16,00 reais.
Aumentar a produção de sete para oito unidades significa diminuir a receita total de 21,00 para 16,00 reais. Isto é a mesma coisa que dizer que a receita marginal está negativa em 5,00 reais quando você muda de sete para oito unidades de produção.
Para finalizar este assunto, apresentamos a matemática do que foi discutido acima, isso é para aqueles que gostam de cálculo e querem algo mais profundo e uma prova científica. Como observamos anteriormente, para uma curva de demanda em linha reta como a que observamos no gráfico anterior, a curva de Receita Marginal é uma linha reta que tem duas vezes uma inclinação mais íngreme que a curva de demanda. Usando a disciplina de Cálculo podemos provar que a curva de Receita
Marginal (RM) cai duas vezes mais rápido que a curva de demanda, usando a equação da curva de demanda mostrada no gráfico, p = 10 - q; substituindo-a pela equação de receita total (RT) , RT = p x q; e depois pegando a primeira derivada com respeito a produção, q. Porque a receita marginal é dRT/dq, veremos que RM = 10-2q, significando que RM tem a mesma interceptação vertical que a curva de demanda, mas como uma inclinação duas vezes mais íngreme.
Portanto, um monopólio não é diferente de uma empresa competitiva no que tange aos custos de produção de mercadorias. Assim como uma empresa competitiva, um monopólio tem custos fixos, custos variáveis e custos marginais, e estes custos se comportam exatamente do mesmo modo tanto para uma empresa competitiva como para um monopólio. Isto significa que podemos usar os custos para ajudar a analisar o processo de tomada de decisão das empresas competitivas.
A principal diferença, entretanto, é que o monopólio está diante de uma curva de receita marginal inclinada decrescente. Este fator faz com que um monopólio produza menos do que produziria uma empresa competitiva.
Existem algumas formas de fazer um monopólio produzir mais. Uma dessas formas se dá, por exemplo, através de subsídios do governo. O governo poderia estar interessado que um monopólio atinja mais pessoas, como regiões mais afastadas ou pessoas com menos condições. Assim, os governos poderiam subsidiar a produção para que o monopólio pudesse realizar essa produção.
Outra maneira de conseguir que um monopólio produza mais é simplesmente exigir que ele produza mais. Por exemplo, em diversos lugares, companhias telefônicas são solicitadas para oferecer serviços básicos de telefonia para todos, até mesmo para pessoas que não podem pagar por eles.
Nesse caso, a ideia é ter certeza que todos serão capazes de pedir ajuda se tiverem uma emergência. O mesmo acontece com as empresas que fornecem aquecimento no inverno. Em algumas jurisdições, não é possível cortar o aquecimento de alguém por falta de pagamento da conta. Claro que tudo isso é feito com bastante critério de modo a não levar a falência de monopólios.
Uma forma de melhorar a produção dos monopólios é dividi-los, como aconteceu nos Estados Unidos com a empresa de telefonia AT&T. Em 1984 um juiz determinou que ela deveria ser dividida em várias outras empresas locais para estimular a concorrência. A política de transição correu extremamente bem, tanto que rapidamente um mercado muito competitivo no ramo de serviços de telefonia emergiu entre as empresas que tinham feito parte da AT&T. Esta robusta concorrência eliminou os problemas associados aos monopólios e assegurou que os serviços de telecomunicações fossem oferecidos a baixos custos e em grandes quantidades.
Até agora, mostramos que em comparação com uma empresa competitiva, um monopólio produz muito pouco a um custo muito alto e, numa reviravolta, vende toda a produção por muito dinheiro. Mas existem casos em que os benefícios do monopólio superam seus custos. A situação mais óbvia onde os monopólios fazem bem à sociedade é nas patentes. As patentes dão aos inventores direito exclusivo de mercado sobre suas invenções por 20 anos, e após este tempo seus inventos passam a ser de propriedade pública. Portanto, as patentes permitem aos inventores os direitos de administrar um monopólio por 20 anos. Sem isso, provavelmente, um inventor nunca teria qualquer retorno financeiro por seu trabalho. Consequentemente, em um mundo sem patentes, poucas pessoas iriam se incomodar em colocar tempo, esforços e dinheiro necessários para surgir com novas invenções.
Oferecer esse tipo de monopólio aos inventores tem como resultado inovações mais rápidas, crescimento muito mais veloz da economia e aumento nos padrões de vida. Mas nota-se que esse monopólio não é para sempre, senão provavelmente veríamos o que estudamos anteriormente com relação a produtividade e benefícios à sociedade.
Existem ainda outros monopólios como a coleta de lixo, o que é benéfico, imagine a situação de 8 empresas fazendo coletas de lixo todos os dias na sua rua, ou seja, vários caminhões barulhentos passando sem parar. A TV a cabo também é limitada, pois imagine vários túneis ou postes carregando diversos cabos o que aconteceria. O gás natural também é um caso de monopólio benéfico, pois a colocação de canoas para entrega de gás é cara e a colocação de múltiplas redes em uma área seria um absurdo completo. Também podemos citar as empresas de saneamento, energia elétrica, entre outras.
A cada empresa é dado um monopólio e este é regulamentado para assegurar que não aconteça a exploração dos clientes.
A palavra “oligopólio” vem do grego e significa “poucos vendedores”. O oligopólio é um setor no qual há apenas um pequeno número de empresas, como duas, três, ou um pouco mais que isso. Atualmente não é difícil achar setores com um oligopólio bem definido, como por exemplo, empresas de refrigerantes, produção de petróleo e até mesmo videogames.
Os setores oligopolistas são interessantes porque, dependendo das circunstâncias específicas, as empresas podem tanto competir brutalmente umas com as outras ou se unir para se comportar de maneira semelhante a um monopólio. Assim, em alguns casos os oligopólios podem ser deixados sozinhos, pois a concorrência entre eles assegura que eles produzam a níveis socialmente ideais, enquanto que, em outros casos, a regulamentação governamental é necessária para prevenir que eles atuem como monopólios e se comportem de modo socialmente indesejável.
Já sabemos que existem os monopólios e os oligopólios, mas ainda existe um outro tipo de setor intermediário que é onde encontramos a competição monopolista. Ou seja, é uma forma híbrida entre a concorrência perfeita e o monopólio. Aqui temos a diferença para a concorrência perfeita é a diferenciação do produto, ou seja, o fato de que cada empresa fabrica um produto ligeiramente diferente das outras, diferente da situação da concorrência perfeita em que todos fabricam o mesmo tipo de produto.
Vamos voltar a falar sobre os oligopólios e depois voltamos ao assunto anterior. Em setores nos quais apenas poucas empresas operam, elas têm uma
escolha sobre se competem ou cooperam. Sabemos que nos mercados perfeitamente competitivos o fato de termos muitas empresas, e que cada uma delas é apenas parte do mercado, significa que suas produções individuais não têm qualquer efeito nos preços do mercado, e por isso, as empresas concorrentes apenas tomam um dado preço de mercado e ajustam seus níveis de produção de acordo com ele, de modo a tornar o seu lucro o maior possível.
Já um mercado com poucos vendedores, cada um produz apenas o suficiente da produção total com o intuito de afetar o preço do mercado. Por exemplo, Coca e Pepsi produzem apenas o necessário para garantir seus preços no mercado, se por outro lado essas empresas aumentassem a sua produção, teríamos um preço de cola no mercado muito mais baixo.
A Pepsi e a Coca estão envolvidas em uma situação onde cada uma de suas decisões de oferta afeta não apenas suas próprias vendas, mas também a de seus concorrentes. Os economistas se referem a tal situação como situações estratégicas, porque as empresas envolvidas têm que decidir que tipo de estratégia adotar.
Em particular, elas têm que decidir se competem ou se são coniventes entre si. Se competirem, ambas tentarão aumentar a produção de forma a baixar os preços e captar tantos consumidores quanto possível, mas se fizerem conluio, irão juntas cortar a produção, de modo que conduzam a um aumento de preços e consequentemente de seus lucros.
Uma das duas estratégias, competição ou conluio, leva a resultados muito diferentes para produtores e consumidores. Os produtores possuem vantagens no conluio do que na competição, pois seus lucros duram tanto quanto a conivência das empresas. Por sua vez, para os consumidores essa conivência é pior, porque conduz a altos preços e baixa produção.
Havendo realmente esse conluio pode ser importante que os governos entrem em ação através de regulamentações.
No entanto, em muitos setores que poderia haver esses conluios, não há. Pepsi e Coca investem milhões de reais em propagandas e patrocínios de forma a tentar atrair o máximo de consumidores para seus produtos. O mesmo se nota em companhias telefônicas que competem de forma tão agressiva que leva umas a falência. Também acontece em companhias aéreas.
Por isso, uma pergunta que se faz é por que há tão pouco conluio em área que poderiam perfeitamente não haver, devido a operação de tão poucas empresas.
Para responder essa questão discorreremos de alguns pontos. Quando um grupo de empresas que conluem e agem como um único organismo coordenado, isso é conhecido como um cartel. Um cartel é como uma grande empresa com várias empresas individuais dentro dele, o que lembra um monopólio. Evidente que esse cartel se comporta como um monopólio, produzindo o suficiente para gerar grandes lucros. E, melhor ainda para o cartel, que o lucro do monopólio persiste tanto quanto as companhias participantes se mantêm cooperando e produzindo uma saída combinada de unidades que aumentem seus lucros.
No entanto, infelizmente para os cartéis, é que frequentemente é muito difícil conseguir que todas as empresas coordenadas produzam coletivamente o nível de produção do monopólio. Para conseguir que todas essas empresas cooperem e produzam nessa quantidade de unidades de mercadorias elas precisam concordam em dois aspectos: a divisão de lucros (todas querem o maior possível), e cotas de produção que cada uma deve produzir, as empresa são tentadas a produzir mais que a cota estabelecida de forma a possuírem maiores receitas.
Um exemplo muito comum disso é a OPEC (Oil Producing and Exporting Countries OU Organização dos Países Produtores e Exportadores de Petróleo). A OPEC é um cartel de petróleo que inclui Arábia Saudita, Iraque, Venezuela, Nigéria, Kuwait, Indonésia e vários outros países exportadores de petróleo.
Estas nações controlam a maioria das reservas mundiais de petróleo, vendendo o direito de extração de petróleo para companhias que, por sua vez, revendem para o consumidor.
Essas empresas negociam acordos sobre a produção de petróleo, mas estes acordos são constantemente quebrados. Por exemplo, suponha que o nível de produção do monopólio que maximizaria o lucro coletivo da OPEC seja de 20 milhões de barris por dia, e que o preço para aquele nível de produção é de 60 dólares por barril.
Para atingir esses 20 milhões de barris, a OPEC precisa concordar com essa cota, assim, a Arábia Saudita, por exemplo, pode produzir 4 milhões de barris por dia, enquanto a Venezuela pode produzir 2 milhões. No entanto, a OPEC não consegue que essas cotas sejam cumpridas, quase todos trapaceiam e produzem em demasia.
A razão de agirem assim é porque os altos preços do petróleo são muito tentadores. Por exemplo, se todos os outros países cumprirem o acordo e aumentarem os preços do petróleo, a Venezuela vai achar muito tentador produzir mais que sua cota, porque cada barril adicional trará muito mais dinheiro. Porém, todos os países enfrentam essa tentação e faz com que todos aumentem a produção de suas cotas. Esse aumento na oferta causado por todo esse trapaceio inunda o mercado e reduz os preços para menos do que os países poderiam ter recebido se tivessem permanecido com suas respectivas cotas.
Portanto, os cartéis têm incentivos autodestrutivos, ou seja, eles trabalham e criam lucros monopolistas, mas também criam tentações para que seus membros trapaceiem. Por isso, a OPEC tem muitos problemas na sua atuação, o sucesso ocasional da OPEC se dá devido a posição dominante da Arábia Saudita dentro do cartel, isso por que quando outros membros trapaceiam, a Arábia Saudita tem sido capaz de utilizar a sua enorme capacidade e ameaçar dobrar sua produção no mercado, forçando os trapaceiros a voltarem suas estratégias.
Vamos a um exemplo para mostrar na prática como funcionam os cartéis. Segue abaixo uma tabela que mostra o lucro de duas empresas que vendem sacos de cimento:
Nesse gráfico podemos verificar que quando ambas as empresas cobram 3 reais o saco de cimentos, elas obtêm um lucro de 1000 reais, conforme o retângulo superior esquerdo. No entanto, se ambas cobrassem 2,00 reais por saco, o lucro individual diário cairia para apenas 800,00, conforme mostra o retângulo inferior à direita. Aqui podemos notar que se ambas entrarem em conluio e cobrarem os 3 reais por saco, lucrarão 200 reais a mais por dia se cobrarem 2 reais.
Como discutimos anteriormente, o cartél é difícil de ser mantido, pois sempre existe a tentação de trapacear. Observe os outros dois retângulos que não discutimos ainda. Se uma delas cobrar 3 reais enquanto a outra cobrar 2 reais por saco, aquela que cobrar 2 reais rouba os negócios da empresa de 3,00 reais e obtém um lucro muito maior. O lucro dela explode para 2000 reais, enquanto a outra cai vertiginosamente para 500 reais. Estamos falando de variações entre 50% e 100% tanto na receita de uma quanto na perda de receita da outra.
Agora podemos falar do Dilema do Prisioneiro que fica evidente nesta situação. Antes, saiba que o Dilema do Prisioneiro é uma famosa teoria de um jogo, que estuda o comportamento das pessoas em situações estratégicas.
Esse jogo é bastante conhecido no caso de dois prisioneiros que roubaram um banco e a polícia os separa para tentar fazer com que um incrimine o outro, oferecendo benefícios se um entregar o outro. Então eles ficam presos no dilema de entregar o outro e receber um benefício de uma pena menor, ou não entregar o parceiro e ter uma pena máxima se o parceiro resolver entregá-lo.
Explicaremos abaixo como ocorre essa situação no exemplo acima com as duas empresas de cimento.
Veja que se notarmos no quatro os incentivos de cada empresa, veremos que uma estratégia dominante para ambas as empresas é cobrar 2 reais por saco. Se a Cimentos Service cobrar o menor preço, 2 reais por saco, o que a Charrus deveria fazer para não ter prejuízo? Também cobrar os 2 reais, pois se ela cobrar 3 reais terá um enorme prejuízo. Mas e se a Cimentos Service cobrar o maior valor, 3 reais por saco? A melhor estratégia da Charrus ainda é cobrar 2 reais, pois ela obterá um lucro bastante superior ao Cimentos Service. O mesmo também acontece com a Cimentos Service em relação a Cimentos Charrus.
Portanto, não importa quanto cada uma resolve cobrar, a melhor decisão sempre será de 2 reais e perderão suas chances de unir forças, reduzir a produção, aumentar preços e obter lucros de monopólio. Se ambas as empresas pudessem, de alguma forma, calcular um modo de realmente vender a 3,00 por saco, elas poderiam terminar no retângulo superior esquerdo, e lucrar, cada uma, 1.000,00 ao dia. Mas sem uma maneira de confiar, cada uma delas seguirá suas estratégias dominantes que é cobrar 2,00 reais por saco e terminar no retângulo inferior direito, lucrando apenas 800,00 por dia. Recusando-se a trabalharem juntas, ambas deixam de obter um lucro diário de 200,00 reais.
Essa situação é excelente para a sociedade, e por esta razão, a sociedade frequentemente não tem a incômoda tarefa de regulamentar os setores de oligopólio.
Graças ao Dilema do Prisioneiro, os cartéis muito frequentemente não aumentam seus preços.
Pode-se notar que essa situação ocorre nos cartéis como da OPEC. Depois das reuniões que são decididas as cotas de cada país, como, por exemplo, 10 milhões de barris diários para Arábia Saudita e 2 milhões para Venezuela, as coisas se modificam quando todos os ministros do petróleo vão para casa. Cada nação percebe que produzir mais do que sua cota é a melhor estratégia, não importa o que o outro país faça. Por exemplo, para a Venezuela é melhor produzir mais do que sua cota de um milhão de barris ao dia, não importa o que os outros países façam. Se os outros países cumprirem suas cotas, a Venezuela estará em melhor condição de produzir acima da sua cota e vender enormes quantidades a um alto preço. Esse alto preço se dá pois os outros países estão cumprindo suas cotas moderadas. Porém, se os outros países também quebrarem as regras e produzirem mais, teremos mais petróleo no mercado e o preço baixará. Isso fará com que a Venezuela também produza mais que a sua cota, pois os preços estão baixos e ela quer lucrar mais.
Dessa forma, Uma vez que cada país está diante das mesmas tentações de produzir acima de sua cota, o cartel da OPEC normalmente não funciona muito bem. Produzir a mais é uma estratégia dominante e é simplesmente muito tentadora para resistir dadas as recompensas.
Por isso, como explicamos anteriormente, a Arábia Saudita tenta controlar a OPEC, ameaçando os outros membros do grupo sob forma de super baixas dos preços do petróleo, essa ameaça é encarada de forma dura pelos outros países, pois a Arábia Saudita detém 25% do petróleo mundial e o menor custo de produção do mundo que gira em torno de 3 dólares por barril, enquanto os outros países tem um custo que 10 dólares, isso é devido ao petróleo que possui maior pureza. Portanto, a Arábia poderia colocar a 3 dólares o barril e devastar com todos os outros membros, gerando uma falência em massa. Mas ainda assim, sabe-se que Arábia Saudita tem limitações na capacidade de bombeamento, o que provavelmente seria um limitador para ela dominar o mercado ao preço de 3 dólares por barril. Isso ainda não deixa de tornar a Arábia Saudita uma ameaça, mas não é nem perto de uma ameaça forte o suficiente para mudar a estratégia dominante da quebra do limite das cotas.
O Dilema do Prisioneiro possui versões bastante avançadas que os matemáticos desenvolveram para os casos de um grande número de participantes, que é o que ocorre na OPEC por exemplo. A conclusão básica desses modelos de multi empresas é que a estratégia dominante geralmente é não cumprir os acordos do cartel.
Em alguns setores, entretanto, os cartéis são eficazes para reduzir a produção e aumentar os preços. Normalmente, estes são setores onde uma empresa é grande e poderosa o suficiente para verdadeiramente ameaçar as outras com falência. Isso aconteceu no século XIX, em que a Standard Oil Company era tão poderosa que tinha 90% do mercado de petróleo dos EUA e ameaçava durante as outras empresas que não cumpriam os acordos. Ela levava concorrentes à falência quando contratos eram quebrados, para isso ela oferecia preços do petróleo a preços muito baixos por tempo suficiente que levavam a falência aquelas que descumpriam os acordos.
Apesar de operar no prejuízo por um tempo, a empresa consumava a falência do concorrente e voltava a ameaçar quem descumprisse as regras do cartel. De fato, como a Standard Oil exercia tamanho controle, seu setor estava muito mais para um monopólio do que um oligopólio.
Posteriormente a empresa foi dividida em diversas outras independentes, e assim nenhuma delas se tornou grande e poderosa o suficiente para dominar o mercado. Isso também aconteceu com açúcar, aço, ferrovias, entre outros. Esses cartéis foram chamados de trusts, e posteriormente as leis que dividiram todos os monopólios e cartéis existentes foram chamadas de leis antitruste.
Um grande problema com as leis antitruste é decidir quando regulamentar um oligopólio ou fragmentá-lo para promover a concorrência. O primeiro sinal de que existe um cartel em potencial é, com certeza, quando você observa apenas umas poucas empresas em um determinado setor. Mas por causa do Dilema do Prisioneiro, em alguns casos nem mesmo um setor com apenas duas empresas será capaz de formar eficientemente um cartel. Consequentemente, os promotores de justiça precisam de mais evidências do que apenas mostrar que não existem muitas empresas em um setor.
Uma tática específica e altamente eficiente que é usada em todo o mundo é dar imunidade durante uma investigação judicial para a primeira empresa que confessar fazer parte do cartel. Em vista do tamanho das multas potenciais, é do interesse das empresas soltar a língua na primeira evidência do problema.
Um caso em que isso aconteceu foi uma investigação sobre o uso de sobretaxas de combustível da British Airways e Virgin Atlantic: assim que ficaram cientes da investigação, os executivos da Virgin prometeram disponibilizar a informação incriminadora em troca de imunidade, o que resultou em seu rival recebendo a multa (e no rompimento do cartel).
Agora que terminamos o estudo dos oligopólios e todas as suas implicações, vamos voltar ao segundo assunto desta seção que é a concorrência monopolística. Este nosso último estudo desta seção falará desse assunto que traz como característica tanto o monopólio como as empresas competitivas.
De modo semelhante às empresas competitivas operando em mercados livres, os setores caracterizados como concorrência monopolística têm muitas empresas competindo umas contra as outras. Mas, diferente da situação dos mercados de livre concorrência onde todas as empresas vendem um mesmo produto, na concorrência monopolística o produto de cada empresa é ligeiramente diferente.
Um exemplo é o mercado de vinho. O vinho é um produto genérico, mas os seus apreciadores dirão que reconhecem diferenças entre os vinhos produzidos pelas vinícolas. Cada vinícola tem sua forma de produção que diferenciam uma das outras.
Os economistas utilizam o termo diferenciação do produto para descrever as coisas que fazem cada produto de uma empresa ser um pouco diferente dos produtos dos concorrentes. O resultado geral dessas diferenças é que elas diminuem um pouco a intensidade da concorrência.
Outro exemplo são os restaurantes que precisam se preocupar com os preços dos demais, porém se especializam em diferentes culinárias para tentar se diferenciar dos demais. As diferenças entre produtos diminuem, mas não eliminam a concorrência dos preços, pois não é por que o restaurante está colocando sushis no buffet que as pessoas passarão a frequentá-lo se ele cobrar 50% a mais que os outros.
Um grande erro é pensar que essas diferenciações únicas das empresas monopolísticamente competitivas levarão a um aumento dos preços a ponto das suas agradáveis margens de lucros serem garantidas.
Afinal, em pura concorrência, em que todas as empresas vendem os mesmos produtos e não tem qualquer modo de diferenciá-los de seus concorrentes, os preços caem tanto, que as empresas acabam obtendo zero de lucros econômicos, conforme já estudamos. Mas as empresas monopolisticamente concorrentes podem aumentar seus preços acima da concorrência, parece óbvio que elas tenham a garantia de lucros. Infelizmente este não é o caso, pois as empresas monopolisticamente concorrentes ainda enfrentam concorrência. Em especial, elas enfrentam a expectativa de que se estão obtendo lucros satisfatórios, estes lucros atrairão novos empreendedores para o setor. Quando os novos participantes começam a produzir, eles tomam os negócios das empresas já estabelecidas, e arruínam seus lucros anteriormente bem ordenados. De fato, novos empreendedores continuam a chegar até que os lucros sejam levados a zero.
Alguns empresários podem concluir que a redução dos custos pode não compensar a perda da diferenciação do produto. Por isso, algumas pessoas acabam pagando mais alto por essa diferenciação e isso leva algumas empresas a continuarem por mais tempo no mercado. Certamente muitas pessoas não gostariam de sempre frequentar os mesmo tipos de restaurantes que servem a mesma comida, no mesmo tipo de ambiente, sob as mesmas luzes, com mobília igual. E, assim, se o custo da variedade for mais alto para que as empresas monopolísticamente competitivas fabriquem a sua produção acima das empresas dos setores competitivos, as pessoas poderiam estar dispostas a aguentar estes custos mais altos por uma questão de variedade.
Mas, as pessoas precisam decidir se os altos custos da variedade valem a pena — e em quais situações. Embora eles possam valer muito em termos de restaurantes, pode-se ter uma opinião diferente sobre a diferenciação de produtos encontrados, por exemplo, em postos de gasolina.
Falamos nos estudos anteriores sobre a mão invisível, em que Adam Smith afirma que apesar dos indivíduos perseguirem seus próprios interesses, se permitirmos aos mercados alocarem seus recursos, o bem comum é atingido.
Apesar dessa ideia que o mercado age de forma "automática", ele estava consciente que para atingir esse resultado, os direitos de propriedade da sociedade tinham que ser corretamente estabelecidos antes de as pessoas iniciarem seu comércio de bens e serviços nos mercados. No seu famoso livro escrito em 1776, A Riqueza das Nações, Adam fala bastante sobre como os governos devem definir corretamente os direitos de propriedade se quiserem que os mercados produzam resultados socialmente benéficos.
Adam Smith explica que se os direitos de propriedade não estiverem corretamente estabelecidos, uma pessoa não levará totalmente em consideração como os atos dele ou dela afetam outras pessoas. Um exemplo clássico disso é quando existem dois terrenos, um pertence a um dono, o outro não é de ninguém, é um terreno baldio.
Se alguém quiser jogar lixo na propriedade privada, terá que pagar ao proprietário o direito de fazer isso, pois ele está administrando esse aterro sanitário e tem custos para isso. Mas no outro terreno, qualquer um pode despejar de graça, ninguém tem o direito de impedi-lo. Podemos notar que existem diferenças no direito de propriedade dos dois terrenos. As pessoas podem estar propensas a largar lixo no terreno baldio, porque é menos oneroso. O problema é que, embora o custo seja menor, despejar o lixo nesse terreno impõe muitos outros custos. O que poderia ser um parque, é um amontoado de lixo sem nenhum tipo de administração, que pode levar sujeira para o solo, para lençóis freáticos ou até mesmo para pessoas que por ventura frequente o local.
Os direitos de propriedade dão aos seus possuidores o controle de suas posses. Por exemplo, uma pessoa que possui um veículo pode fazer o que quiser com seu veículo, como pintar da cor que quiser, mudar o motor, mudar o escapamento de lugar, etc. Porém, os direitos de propriedade não são totalmente ilimitados. A sociedade restringe o que você faz com seu carro. Por exemplo, todos os anos, carros de uma determinada idade precisam ser examinados para verificar a emissão de gases poluentes. A lei também limita a velocidade permitida que a pessoa pode andar com seu carro, o barulho emitido pelo veículo, entre outras coisas.
A maneira como os economistas descrevem esta situação é dizendo que ações causam externalidades.
Uma externalidade é um custo ou um beneficio que não cai diretamente sobre a(s) pessoa(s) envolvida(s) em uma atividade, mas sobre os outros. Essa externalidade pode ser positiva ou negativa. Uma externalidade positiva é um benefício que recai sobre uma pessoa não diretamente envolvida em uma atividade, como por exemplo, uma apicultora que cria abelhas para produzir o mel que ela venderá, essa abelha pode voar e polinizar outras flores de fazendeiros locais, aumentando as suas colheitas. Esse é um exemplo de uma externalidade positiva. Mas também podemos ter uma externalidade negativa, em que um custo (e não um benefício como anteriormente) que recai sobre uma pessoa não diretamente envolvida em uma atividade. Um exemplo disso é uma siderúrgica, em que como um subproduto da produção de aço, lança ao ar toneladas de fuligem e fumaça, que tem como consequência a poluição, gerando assim uma externalidade negativa.
É interessante notar que no caso da siderurgia, seus gerentes levam em consideração apenas seus custos particulares com matéria prima e a administração da fábrica e seus equipamentos. Note que o direito de propriedade é precário. Imagine se houvesse um dono da atmosfera, os gerentes da siderurgia teriam que pagar por essa poluição toda, principalmente se os donos da atmosfera tivessem que respirar toda essa poluição. Assim, a empresa seria forçada a pagar aquelas pessoas pelo direito de poluir, e a levar em consideração o prejuízo que a poluição causaria a elas. Mas como a atmosfera não é propriedade de ninguém, as empresas não tem que pagar por poluir o ar, não existe um mecanismo que faça com que os administradores da siderúrgica levem em consideração os custos da poluição que recaem sobre os membros da comunidade. O resultado é que a empresa exagera na produção de aço. Isso ocorre pois uma vez que a siderúrgica não leva em consideração os custos marginais que a produção de aço impõe sobre os outros, sua curva de custo marginal (a curva de oferta) é tão baixa, que a leva a uma produtividade exagerada de aço, se tivesse que levar em consideração os malefícios para os outros, essa curva seria diferente.
A reação comum às externalidades negativas é sempre o extremo, ou seja, proibi-la. Essa reação de forma alguma é socialmente ideal. Existe sim um número socialmente ideal para a produção de ação que seja ótimo produzi-lo, mesmo que alguma poluição ainda assim seja produzida. Ainda precisamos bastante do aço para facilitar muito as nossas vidas. Veja os carros, eles produzem poluição ao ambiente, mas seria correto bani-los totalmente? É justo se livrar totalmente das ambulâncias e caminhões que transportam alimentos? Apesar destes veículos emitirem poluição, os custos impostos à sociedade são mais do que compensados em razão do seu grande benefício social.
O mesmo também vale para a poluição provocada pela siderúrgica. A única maneira de eliminar totalmente a poluição da fábrica é fechando-a. Mas isto significa remover da sociedade todos os benefícios que o aço pode oferecer, como edifícios à prova de terremotos e cabines de segurança resistentes ao choque em automóveis.
Dessa forma, o objetivo principal não deve ser eliminar externalidades negativas, mas sim assegurar que todos os custos e todos os benefícios sejam pesados. Ou seja, os benefícios das unidades de produção devem ultrapassar os custos de sua fabricação, inclusive os custos das externalidades negativas. Deve-se atingir um nível de unidades de produção em que o total dos benefícios é, pelo menos, tão grande quanto o total de custos, significando que a sociedade, como um todo, se beneficia se estas unidades forem produzidas.
Existem algumas forma de lidar com essas externalidades negativas, como a criação de leis que restrinja ou até proíba (como a queima de lixo) atividades que gerem externalidades negativas, leis com alvos claros de algumas externalidades negativas (por exemplo, obrigar a instalação de purificadores em chaminés de siderúrgicas), e por fim, impor custos - como taxas - para pessoas ou empresas que gerem externalidades negativas (por exemplo, cobrar taxas para cada tonelada de poluição emitida).
Agora vamos falar sobre a externalidade positiva. Os bens e serviços que oferecem externalidades positivas a terceiros acabam sendo subproduzidos. Se voltarmos ao exemplo da apicultora que vende o mel da abelha e ganha dinheiro com isso, note que os fazendeiros, que não pagam a apicultora pelos benefícios recebidos pelas suas abelhas, não possuem um retorno ainda maior com as abelhas, pois a apicultora desenvolverá menos colmeias do total que poderia, se os fazendeiros estivessem pagando a ela pelos benefícios que as abelhas lhes trazem.
Dessa forma, a subprodução é típica para bens que geram externalidades positivas, dado que os direitos de propriedade são estabelecidos de tal forma que os destinatários das externalidades positivas não têm que pagar por eles, o produtor do bem que gera a externalidade positiva não tem incentivo para oferecer unidades extras de produção para o beneficio daqueles que recebem as externalidades. O resultado é que produz-se apenas para as pessoas que podem pagar diretamente pelo produto.
Como o mercado tendem a subproduzir bens e serviços que têm externalidades positivas, as pessoas precisam criar maneiras para encorajar altos níveis de produção. Uma das formas é através de subsídios. No exemplo anterior, o governo poderia pagar um subsídio por litro do mel, isso encorajaria a apicultora a produzir mais colmeias. Outra forma seria até mesmo taxas os agricultores e repassar esse valor para a apicultora, tornando o programa autossustentável. Os resultados seriam mais abelhas polinizando mais flores, levando ao aumento dos níveis de produção dos agricultores.
Já que sabemos o que são as externalidades e qual a sua importância na economia, vamos usá-la para explicar a teoria da Tragédia dos Bens Comuns. A Tragédia dos Bens Comuns explica um importante problema econômico resultante de definições deficientes a respeito dos direitos de propriedade que não levam em consideração as externalidades negativas. A melhor forma de explicar os conceitos é utilizando o exemplo dos campos de pastagens e do gado. Para isso imagine uma região agrícola que possui a maior parte dos terrenos de propriedade de alguns agricultores, e uma larga parte que não pertence a ninguém.
Em cada propriedade particular, o proprietário tem um incentivo para limitar o número de cabeças de gado que ele coloca no pasto. Isto porque, se colocarmos muitas cabeças de gado no mesmo campo, elas rapidamente comerão toda a grama e arruinarão o campo para as próximas pastagens. Consequentemente, o proprietário do campo particular coloca apenas umas poucas cabeças para pastar. Fazendo isto, ele reduz seu lucro de curto prazo (porque restringe o número atual de vacas), mas maximiza seu lucro a longo prazo (porque o campo permanece em bom estado e pode continuar alimentando bem o gado no futuro.)
Agora imagine o campo de propriedade comum, local público. Uma vez que o campo é de propriedade comum, você não tem que pagar pelo direito de colocar uma vaca naquele pasto. Dessa forma, todos irão querer colocar algumas cabeças de gado lá, porque o custo pessoal de fazer isto é nenhum. O problema disso é que todos pensarão a mesma coisa e o campo logo estará cheio de gados e arruinado, já que o gado comerá toda a grama e sobrará apenas um grande barro.
Assim, apesar de não haver nenhum custo pessoal em colocar uma vaca pastando em um campo comum, há, no entanto, um custo social. Ou seja, cada vaca adicional causa um dano ao campo, dano que reduz a produtividade futura do mesmo.
A diferença entre o que acontece no campo particular versus o campo comum é absolutamente o resultado de diferentes direitos de propriedade regendo os dois tipos de terra. No caso dos campos privados, os agricultores têm um incentivo para pesar os custos bem como os benefícios de colocar mais gado para pastar. No campo público, entretanto, ninguém tem um incentivo pessoal para preservar sua usabilidade futura.
A Tragédia dos Bens Comuns pode ser encarada como um caso de externalidade negativa. Se alguém visse grama exuberante em um campo comum, correria para colocar nele todo seu gado, sem considerar o dano que a devastação das pastagens causaria ao campo. Ninguém se importa com a externalidade negativa de um campo destruído porque nenhum indivíduo possui efetivamente o campo, e além disso, ninguém sofre pessoalmente quando ele é arruinado. Portanto, a ausência de quaisquer outros regimes ou sistemas de gerenciamento, o incentivo individual para explorar ao extremo o recurso natural tende a formar uma corrida de destruição ao recurso.
Esse problema já ocorreu e ocorre ainda em diversos lugares e segmentos. Outro exemplo é o campo pesqueiro, em que a Tragédia dos Bens Comuns também levou ao excesso de pescaria de diversas espécies, exigindo assim um sistema de gerenciamento de direitos de propriedades para corrigi-lo.
O contrário também existe, chamado de a Tragédia dos Bens Antecomuns. Nesse caso, os bens são subexplorados devido à existência de direitos de propriedade. Um exemplo são os DVDs de uma série de TV famosa que não podem ser produzidos porque os direitos de licenciamento são muito caros. É praticamente o mesmo problema encontrado anteriormente, o dano feito pelo exagero do direito de propriedade acaba trazendo problemas para a sociedade.
Consequentemente, quando economistas vêem uma situação de Tragédia dos Bens Comuns, sua primeira intuição é mudar o sistema de governo de direito de propriedade que rege o recurso em questão. Em vez de direitos de propriedade retidos, nos quais cada pessoa tem um incentivo para tomar tantos recursos quanto possível antes que alguém mais o faça, os economistas sugerem a propriedade privada, assim haverá um incentivo para preservar o recurso. Por exemplo, no caso da pesca, uma solução é oferecer aos pescadores direitos de propriedades privada para toda uma área de pesca. Outra forma é ter um referencial sugerido pelos biólogos que determinam um número máximo de peixes que pode ser sustentavelmente pescados a cada ano e após essa pesca o governo leiloar os peixes no mercado.
Essas são formas de gerenciamento da propriedade que beneficia a sociedade como um todo.
Outro exemplo de propriedade privada pode ser vista na Europa, em que o governo dá o ‘direito de propriedade’ para certo montante de emissões para empresas.
Inclusive, as empresas que são mais eficientes recebem a permissão de vender o excesso de emissões que não precisam para empresas menos eficientes. Deste modo, as emissões não são apenas controladas, como as empresas também recebem um bom incentivo para lidar com o problema.
Veremos neste este estudo o que acontece quando os mercados ou seus mecanismos falham, é a chamada falha de mercado. Existem duas razões para ocorrer essa falha: informações assimétricas e o bens públicos.
Informação assimétrica é uma situação na qual ou o comprador ou o vendedor sabe mais que a outra parte sobre a coisa que estão negociando. Um exemplo disso é um carro usado, em que o proprietário conhece muito mais do produto do que o comprador. Se o comprador não confia em nenhuma palavra do vendedor ele oferece um preço bem baixo para o caso do carro apresentar problemas. Caso o vendedor ache que o seu produto tem alta qualidade, ele ofertará por um preço maior que o de mercado. Essa situação se inverte nas apólices de seguros, em que os compradores das apólices estão muito mais bem informados sobre seus próprios bens.
Essa lacuna de informação assimétrica pode comprometer os mercados. Isto porque se o comprador tem enormes preocupações que o vendedor do carro pode estar enganando-o, ele provavelmente não comprará. E o mesmo acontece com a seguradores que poderiam cobrar altos valores como se todos clientes fossem de alto risco.
Isto faria com que os clientes de baixo risco não comprassem os seguros. E veja a situação dos carros usados, se todos compradores oferecessem preços muito baixos alegando que todos vendedores são mentirosos, os vendedores com bons produtos não se interessariam mais em vender seus bons produtos usados, e assim, o mercado seria dominado por produtos de baixa qualidade.
Portanto, a informação assimétrica pode conduzir ao que os economistas chamam de falha de mercado – e nos piores casos, pode levar mercados ao colapso completo à medida que os bens ruins expulsam os bons. Nesses casos, nenhum mercado pode existir porque as pessoas ficam assustadas com o fato de que outros participantes do mercado estejam mais bem informados, e possam usar esta informação para tirar vantagem delas.
O economista de Berkeley, George Akerlof recebeu o Prêmio Nobel em Economia em 2002 provando exatamente essa tese, ele usou o mercado de carros usados para mostrar como é possível que a falha de mercado aconteça.
Essa falha de mercado aconteceu na crise de 2008 nos Estados Unidos. Quando os bancos começaram a quebrar porque as pessoas não tinha dinheiro para pagar os empréstimos, acreditou-se que todas as pessoas eram pobre e ninguém tinha dinheiro. Imediatamente todos os bancos retiraram seus créditos do mercado, e isso agravou ainda mais a crise. Pessoas que tinham dinheiro e queriam contratar créditos para expandir suas empresas ou melhorar suas vidas não conseguiram devido a essa falha de mercado momentânea.
Obviamente que existem algumas formas de tentar convencer as pessoas o quão bom é um produto. Esses métodos oferecem alguma segurança aos compradores. Uma dessas formas é oferecer uma garantia, um vendedor que sabe da qualidade do seu produto não teria problemas em oferecer essa garantia ao comprador. Uma segunda forma é a reputação, se o vendedor tem uma boa reputação e conduta ele pode dar essa segurança ao vendedor, um exemplo disso são as revendas de carros bem recomendadas. Por fim, tem-se a opinião de um especialista que pode resolver o problema da informação assimétrica, contratando um bom especialista pode-se ter uma opinião neutra. Esse último método é o que ainda pode gerar algumas dúvidas, porque ainda assim os especialistas podem não conseguir descobrir tudo. Por isso, normalmente utiliza-se um conjunto dos métodos.
As companhias de seguros também desenvolveram alguns métodos para determinar se um indivíduo é bom ou mau motorista. Em vez de focar no indivíduo, elas procuram por pistas do indivíduo baseadas nos grupos ao qual ele ou ela pertencem. Por exemplo, homens abaixo dos 25 anos se envolvem mais em acidentes do que mulheres abaixo dos 25 anos, assim cobra-se uma taxa maior dos homens. Esta situação apresenta um resultado favorável ao assegurar que todas as pessoas possam obter o seguro por um preço provavelmente justo, dado o fato que, em média, pessoas do sexo masculino e abaixo dos 25 anos se envolvem muito mais em acidentes que pessoas do sexo feminino abaixo dos 25 anos. Veja que podem existir bons motoristas abaixo dos 25 anos do sexo masculino que sejam melhores que do sexo feminino, mas tal sistema de cobrança por perfil é melhor que a alternativa mais injusta, em que todos os bons motoristas teriam que pagar as mesmas taxas dos maus motoristas, que é o que aconteceria se as companhias de seguros fossem proibidas de utilizar informações de grupos para tentar distinguir seus clientes.
Utilizar os grupos aos quais uma pessoa pertence para estimar seu risco individual para o seguro é apenas parte da maneira de resolver o problema da informação assimétrica que existe entre as companhias de seguros e seus clientes. Obviamente, existem ainda muitas outras variações individuais dentro de qualquer grupo. Por exemplo, a pessoa que não se envolve em acidentes durante a validade da sua apólice pode ganhar mais benefícios nas próximas renovações.
Já os Bens Públicos fazem os mercados colapsar de uma maneira diferente, porque a própria natureza deles os torna extremamente difíceis para que os vendedores privados cobrem os usuários.
O exemplo clássico é o farol. Quando o farol está ativo e funcionando, beneficia todos os navios próximos, independente de eles terem pagado pelo serviço. Portanto, todo dono de navio tenta evitar pagar pelos serviços na esperança de que alguém mais o faça. Mas, com todos não pagando na esperança que alguém pague, o farol rapidamente vai à falência e é negada à sociedade um serviço valioso.
Bens públicos são coisas que não podem ser lucrativamente produzidas pelas empresas privadas, porque não há meios de excluir os não pagadores de utilizá-las, como no caso do farol. Isso acontece porque os bens públicos são NÃO RIVAIS, ou seja, uma pessoa utilizando o bem não diminui a capacidade de outra utilizar como uma exibição de fogos de artifícios ou show na televisão sendo transmitido por ondas, assim seu consumo não diminui o consumo dos outros, diferente com a maioria dos bens que quanto mais se consome menos sobra para os outros, e por fim, os bens públicos são NÃO EXCLUSIVOS, ou seja, é difícil impedir que os não pagadores consumam um bem ou serviço, como o caso dos fogos de artifício que se alguém pagar por eles vai consumir igual outros que não pagaram, outro exemplo é a polícia que defende aqueles que pagam em dias os impostos e aqueles que não pagam.
As características não rival e não exclusivo dos bens públicos tornam muito difícil para as empresas privadas ganhar algum dinheiro produzindo estes bens.
A solução mais comum para o problema de como fornecer bens públicos têm sido a intervenção dos governos, que usam dinheiro dos contribuintes para pagar por eles. A defesa nacional é um exemplo de bem público. Ela é responsável por evitar a invasão estrangeira que é pago através de impostos, se fosse diferente a cobrança teríamos uma tentação em não pagar por isso, porque as pessoas sabem que se alguém mais pagar, elas podem desfrutar de graça da segurança contra invasões estrangeiras. Como resultado, os governos forçam as pessoas a dividirem as despesas da segurança nacional cobrando impostos.
Um caso diferente de um bem público que são produzidos por propriedade privada são os canais de televisão. Apesar da TV ser um bem público, as propagandas que acompanham os programas de TV são bens para lá de privados, para os quais se pode cobrar muito dinheiro. Assim, o incentivo para as empresas anunciarem e serem vistas por milhões de pessoas tornou este bem público atraente para a iniciativa privada. O truque por trás da TV é que o setor privado vendeu um bem chamado publicidade, que paga pelo bem público gratuito chamado televisão. Muitos sites e jornais trabalham da mesma forma.
Os bens públicos também tornaram-se um problema para as invenções. Por exemplo, quando Gutenberg inventou a prensa móvel para impressão em 1440, que teve como resultado a cópia dos livros que eram criados, terminando assim com as cópias a mão, vários passaram a copiar a prensa de Gutenberg criando suas próprias gráficas. veja que essa invenção era não rival (construir e utilizar uma prensa não diminui em nada a capacidade de outros de construírem e utilizarem o mesmo tipo de máquina) e não exclusiva (o custo de comunicar a nova ideia para outra pessoa é muito baixo — apenas uma pequena conversa faz o truque).
O resultado é que, a menos que a sociedade crie algum tipo de instituição para recompensar a criação de novas ideias, não há nada mais que o incentivo do lucro para entrar no negócio de invenção. Por isso, a solução tem sido a criação de patentes, pois dá aos inventores o direito exclusivo de comercializar e vender suas invenções por vinte anos. As patentes oferecem um incentivo financeiro para conseguir que as pessoas invistam seu tempo e energia, necessários para apresentar novas tecnologias que beneficiem a todos. Não é por coincidência que a revolução industrial decolou somente após as patentes impostas pelo governo tornarem-se amplamente disponíveis na Europa ocidental no século XVIII.


